丁氧基取代的两亲性柱[5]芳烃的合成毕业论文
摘 要
本论文中回顾了两亲性柱[5]芳烃的历史及发展历程,两亲性柱[5]芳烃和其取代物的主客体化学,总结了它们在生物生化、医用医学、控制药物释放等方面的应用研究进展。就现在常规的两亲性柱[5]芳烃的合成方法而言,是比较成熟的,然而,更多碳原子的大环柱芳烃的合成工艺仍需要不断地优化。随着两亲性柱[5]芳烃的神秘面纱被人们揭开,两亲性柱[5]芳烃及其衍生物将很有希望被用于等更多的领域。
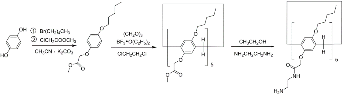
在本论文中,首先对苯二酚与溴丁烷发生亲核取代反应生成对-溴丁氧基苯酚,然后与氯乙酸乙酯亲核取代反应,合成对丁氧基苯氧基乙酸乙酯,在三氟化硼乙醚溶液的催化作用下与多聚甲醛缩合,最后碱性水解生成丁氧基取代的两亲性柱[5]芳烃,通过1H NMR和13C NMR确证了其结构。
关键词:合成 两亲性 柱[5]芳烃 超分子组装
Synthesis of Butyl Substituted Amphiphilic pillar [5] Arene
ABSTRACT
This article reviews the history and development history of amphiphilic pillar [5] arenes, the host-guest chemistry of the amphiphilic pillar [5] arenes and their substituents, summarizes their application in biochemistry, medical medicine. As far as conventional amphiphilic pillar [5] arene synthesis methods are concerned, however, the synthesis of macrocyclic aromatics with more carbon atoms still needs constant optimization. With the mystery of amphiphilic pillar [5] arenes uncovered, amphiphilic pillar [5] arenes and their derivatives will hopefully be used in more fields.
In this paper, firstly, the nucleophilic substitution reaction of hydroquinone with bromobutane resulted in the formation of p-bromobutoxy phenol, followed by a nucleophilic substitution reaction with ethyl chloroacetate to synthesize ethyl p-butoxyphenoxyacetate. It was condensed with paraformaldehyde under the catalysis of boron trifluoride ether solution, and finally alkaline hydrolyzed to produce butoxy substituted amphiphilic pillar [5] arene. Its structure was confirmed by 1H NMR and 13C NMR.
Key words: synthesis;amphiphilic,;pillar [5] arene; supramolecular assembly
目录
摘 要 Ⅰ
ABSTRACT Ⅱ
第一章 综述 1
1.1前言 1
1.2 柱[5]芳烃的结构特点 2
1.3两亲性柱[5]芳烃的性能 4
1.4两亲性柱[5]芳烃的应用 4
1.5两亲性柱[5]芳烃的合成发展历史 5
1.6本课题的研究内容和意义 8
第二章 实验部分 9
2.1 引言 9
2.2实验材料与设备 9
2.3中间体对丁氧基苯氧基乙酸乙酯2a的合成 9
2.4丁氧基取代的两亲性柱[5]芳烃5a的合成 10
2.5本章小结 11
第三章 结果与讨论 12
3.1 合成对丁氧基苯氧基乙酸乙酯2a的过程分析 12
3.2丁氧基取代的两亲性柱[5]芳烃3a合成的过程分析 12
3.3丁氧基取代的两亲性芳烃4a合成的过程分析 12
3.4核磁分析及确证 13
3.5本章小结 18
第四章 结论与展望 19
参考文献 20
致谢 22
第一章 综述
1.1前言
随着科学技术的不断先进,研究的更加全面,工艺的更加完善,不断深入,在诸多方面现在都需要用到超分子,所以,超分子化学越来越多的进入到科学家们的研究领域内,人们对于超分子化学的了解与认识也越来越深,大环低聚化合物的研究与发现越来越受到科学家们的关注,这在超分子化学发展历程和化学历史中都具有非常重要的地位。
低聚大环化合物是现代超分子化学,尤其是近几年来的热点研宄领域之一。任何一代低聚大环主体化合物的出现,都能够在化学界引起很大的影响,受到诸多化学家以及学者的研究与分析,这不仅仅会加快超分子化学的发展,同样也在相关的领域展现出一定的潜力,还极大地增加了超分子化学研究的方法与动力,丰富了超分子化学的内容,加快了人们对未知和半未知领域的探索,加深了人们对超分子化学的理解。早些时候发现的杯芳烃和葫芦脲等超分子低聚物,备受科学家们的广泛的关注,并在许多需要超分子化合物的领域取得了一定的研究进展与应用,比如说纳米材料、生化医学、化学传感器等。
2008年,最新一代的低聚物超分子柱芳经问世,人们通过不断地改善合成工艺,简化合成步骤,使其在接下来的几年里得到了高速的发展。就目前看来,柱芳经化学的研究力度显然是非常之大的,已经成为了低聚物超分子化学的研究热点之一。柱芳烃,是一种新型的大环主体化合物[1],根据由不同单元个数组合形成的柱芳经,柱芳烃可分为柱[n]芳烃(ngt;=5),由于空间结构的特性,柱[5]芳烃是人们研究最多的,随着时代的发展,人们对于柱 [n]芳烃(n=5,6)的研究随之相对较多。低聚大环化合物是现代超分子化学的研究热点,近几年来在这一方面的快速发展,使得两亲性柱[5]芳烃的神秘面纱被人们揭开,这在超分子化学历史上有着不可磨灭的影响,它推动了世界上在这一领域的快速发展,使得人们对这一领域的认识更加深刻,为今后的研究奠定了重要的理论基础和实验基础。
相关图片展示:







课题毕业论文、开题报告、任务书、外文翻译、程序设计、图纸设计等资料可联系客服协助查找。
