[1,4,5]氧二氮杂庚烷二氢溴酸盐的合成毕业论文
摘 要
唑啉草酯(Pinoxaden)是由美国先正达公司开发的一种新苯基吡唑啉类除草剂,也属于乙酰辅酶A羧化酶(ACC)抑制剂类除草剂。在现代农业生产中发挥了极其重要的作用,并且唑啉草酯的专利将于明年到期,因此研究唑啉草酯的合成路线是十分必要的。唑啉草酯由其重要中间体[1,4,5]氧二氮杂庚烷二氢溴酸盐和2,6-二乙基-4-甲基苯丙二酸二甲酯经胺解和酯化2步反应得到。本文重点介绍以二甘醇、甲磺酰氯、氢溴酸和N,N'-双(叔丁氧羰基)肼等为原料分三步合成[1,4,5]氧二氮杂庚烷二氢溴酸盐,通过、、HPLC、红外光谱等检测方法进行分析和表征。在合成过程中通过讨论反应物的摩尔比、反应时间和反应温度对反应收率的影响,确定出了最佳的反应条件,最终的收率为59.15%。此条合成路线操作简便,收率较高,符合工业化的要求。
关键词:唑啉草酯、除草剂、[1,4,5]氧二氮杂庚烷二氢溴酸盐
Abstract
Pinoxaden is a new phenylpyrazoline herbicide developed by the United States Syngenta Corporation and is also an acetyl-CoA carboxylase (ACC) inhibitor herbicide. It plays an extremely important role in modern agricultural production, and the patent of Pinoxaden will expire next year, so it is very necessary to study the synthetic route of Pinoxaden. The oxazoline oxalate was synthesized from its important intermediate [1,4,5] oxydiazepane dihydrobromide and dimethyl 2,6-diethyl-4-methyl phenylmalonate via an amine. And esterification 2-step reaction. This article focuses on the synthesis of [1,4,5]oxadiazepine two in three steps using diethylene glycol, methanesulfonyl chloride, hydrobromic acid and N,N'-bis(t-butoxycarbonyl) anthracene as raw materials. Hydrobromide salts were analyzed and characterized by (_^1)HNMR, (_^13)CNMR, HPLC, and infrared spectroscopy. In the synthesis process, by discussing the influence of the reactant molar ratio, reaction time and reaction temperature on the reaction yield, the best reaction conditions were determined, and the final yield was 59.15%. This synthetic route is simple, high yield, and meet the industrialization requirements.
Key words: Pinoxaden、Herbicides、[1,4,5]-oxadiazepane dihydrobromide
目录
摘 要 I
Abstract II
第1章 绪论 1
1.1 前言 1
1.2 除草剂的简介 1
1.2.1 除草剂的分类 1
1.3唑啉草酯的物化性质 3
1.4乙酰辅酶A羧化酶(ACCase)抑制剂类除草剂的简介 4
1.4.1乙酰辅酶A羧化酶(ACCase)抑制剂类除草剂的分类 4
1.5研究进展 5
1.5.1国外研究进展 5
1.5.2国内研究进展 5
1.6本文研究的目的和内容 6
1.6.1本文研究的目的 6
1.6.2本文研究的内容 6
第2章 二甘醇二甲磺酸酯与Boc酸酐的合成 8
2.1主要原料 8
2.2主要仪器 8
2.3二甘醇二甲磺酸酯的合成 8
2.3.1实验步骤 8
2.3.2二甘醇二甲磺酸酯合成的机理 9
2.3.3 投料比对收率的影响 9
2.3.4 反应温度对收率的影响 10
2.3.5 反应时间对收率的影响 10
2.3.6 甘二醇二甲磺酸酯的表征分析 11
2.4 二叔丁基叠氮草酸的合成 13
2.4.1实验步骤 13
2.4.2 二叔丁基叠氮草酸合成的机理 13
2.4.3 投料比对收率的影响 14
2.4.4 反应温度对收率的影响 14
2.4.5 反应时间对收率的影响 15
2.4.6 二叔丁基叠氮草酸的表征分析 15
2.5 本章小结 17
第三章 [1,4,5]-氧二氮杂庚烷二氢溴酸盐的合成 18
3.1主要原料 18
3.2主要仪器 18
3.3 4,5-二叔丁氧羰基-[1,4,5]氧二氮杂庚烷的合成 18
3.3.1实验步骤 18
3.3.2 4,5-二叔丁氧羰基-[1,4,5]氧二氮杂庚烷合成的机理 19
3.3.2投料比对收率的影响 19
3.3.3 反应温度对收率的影响 20
3.3.4 反应时间对收率的影响 20
3.4 [1,4,5]-氧二氮杂庚烷二氢溴酸盐的合成 21
3.4.1实验步骤 21
3.4.2 [1,4,5]-氧二氮杂庚烷二氢溴酸盐的合成的机理 21
3.4.3投料比对收率的影响 22
3.4.4 反应时间对收率的影响 23
3.4.5 [1,4,5]-氧二氮杂庚烷二氢溴酸盐的表征分析 24
3.5小结 25
第四章 结论 26
参考文献 27
致谢 29
第1章 绪论
1.1 前言
农药是现代科学技术和农业发展相结合的产物,对农业现代化生产是非常必要的。农药也属于农业生产材料一种,并且附加值比较高,现代农业根本离不开农药的支持。对于农药的开发可以说是刻不容缓,农药的生产包括新药剂的开发,产品路线的确定,中间体的开发,农药的复配。我国的农药工业发展已有60余年,现存比较完整的工业体系,并且很多农药的中间体都可以自主生产。农药中间体产量在上世纪九十年代已达到63万吨,在2008约为176万吨[1]。据上可以看出,我国每年的农药产量呈现逐步上升的趋势。但是目前我国仍然还是发展中国家,不是创新型发达国家,我国农药生产还是以非专利型农药为主,这个局面还会保持一个相当长的时间。不管是新农药的研制还是专利过期农药的开发,农药开发与技术水平的关键是农药中间体的开发与技术水平。因此,专利过期农药和中间体的开发已经成为制约我国农药工业发展速度和水平的关键因素之一。
1.2 除草剂的简介
除草剂是能够使杂草发生完全性或选择性死亡的一种药剂。人类同杂草(对人类的生产和生活产生阻碍的植物称作杂草)的斗争早已从刀耕火种时期就已经开始了,人们一直在力求能够高效除草的方法。古时候的除草方法就是采用人力的方式除草,后来在20世纪初开始利用机械除草[3]。但是以上两种方法都大量消耗人力物力,除草效率低下。据统计,全球由于草害造成的损失占全年潜在产量的12%。在人们使用化学除草剂后,认识到了化学除草剂的高效性,草害问题基本得到了解决,也大大解放了生产力。现代化学除草剂价格低、效率高,已经成为现代农业生产不可或缺的一部分。除草剂的使用也带来了环境问题,但随着科学的进步和发展,除草剂也会向着无害化,高效化和低成本化发展。
1.2.1 除草剂的分类
按照化学结构分类可以将除草剂分为二十多个种类,本文由于篇幅限制只介绍几个重要的种类:
羧酸类除草剂;主要包括三个大类的除草剂,分别为苯氧羧酸类、喹啉羧酸类和苯甲酸类。苯氧羧酸类除草剂都是在2,4-D(植物生长素)结构基础上研究而成的,至今已有20个品种,近年来开发出的新品种很少,只有巴斯夫公司开发的2个品种:高2甲4氯丙酸盐和高2,4-滴丙酸盐。这两个品种都属于为数不多的旋光活性异构体。喹啉羧酸类除草剂的种类较为稀少,到目前为止仅仅有两个品种,也是由巴斯夫公司率先开发。总的来说,羧酸类除草剂属于激素性除草剂,当药液试用之后,植物的生长状态类似于体内生长素物质过多的状态,开始出现抑制生长的情况。2,4-D最开始发现于1942年,距今已有七十多年的历史,但这类除草剂在市场上的销量仍然相当可观。
生长素类除草剂的作用机理是在低浓度下可以促进植物的生长,但在高浓度下会杀死双子叶植物,对单子叶植物的影响很小。此类物质可以促进植物体内蛋白质和核酸的合成,使植物体的细胞过度伸长,使植物体产生畸变而影响植物体内各种营养成分的运输,让植物体发生死亡。
酰胺类除草剂;此类除草剂一直饱受各国农业从事者的青睐,常年居农药销售市场第二位,以其高效能而出名。我国自上世纪九十年代引进乙草胺,经过长时间的推广,已经成为我国农药市场的支柱产品。乙草胺已经成为我国使用面积最广的旱地土壤处理选择性苗前除草剂,乙草胺使用成本低廉,操作方便,药效期适中。通过复配后,乙草胺的可湿性粉剂可用于水稻移栽的水田,使乙草胺的适用范围进一步扩大了,则乙草胺的用量和需求量也增大了。
磺酰胺类除草剂;此类除草剂作用的原理是抑制植物细胞内乙酰乳酸合成酶的活性,除草剂的主要结构为三唑并嘧啶磺酰胺。磺酰胺类除草剂最开始由美国道农业科学公司研制开发而成。
磺酰脲类除草剂;此类除草剂的开发标志着除草剂工业进入了超高效的时代,从此磺酰脲类除草剂的研究成为了农药开发领域最热门的研究领域之一,自氯磺隆除草剂问世以来,磺酰脲类除草剂已成长到了30多个品种,可见其发展速度之快。近几年新开发的品种,很好的解决了在保持原有高活性,环境友好的前提下,不仅对农作物无影响,对后荐作物也无影响。
磺酰脲类除草剂的作用机理跟一般的除草剂不一样,较为新颖,通过抑制乙酰乳酸合成酶(ALS)的活性达到除草的效果,通过已知植物体内乙酰乳酸合成酶的活性,来使部分氨基酸的合成受阻,例如缬氨酸、亮氨酸、异亮氨酸的合成。由此会导致植物的有丝分裂受到抑制,植物的正常生长受到抑制发生死亡。磺酰脲类除草剂的特点主要有以下几点:①超高活性。磺酰脲类化合物在使用上表现出了前所未有的活性,使每公顷的用药量从以前的几十公斤降到了以克为单位。②低毒性。磺酰脲类除草剂的作用位点只有一个就是乙酰乳酸合成酶(ALS),没有其他位点,所以不仅是对人对掐哺乳动物的毒性都非常小。③选择性。磺酰脲类除草剂对大多数作物的选择性良好,这个选择性是由于不同类型的作物和杂草代谢失活能力的强弱造成的。④环境友好。磺酰脲类除草剂既是土壤处理剂也是茎叶处理剂,并且其挥发性很低,只有极少量的药液会进入大气,大部分都会进入土壤和被植株吸收。此除草剂易降解,可通过化学水解和微生物分解两种方式降解。⑤残药性。近年来新开发的磺酰脲类除草剂如甲磺隆、绿磺隆、胺苯磺隆和氯嘧磺隆等,其拥有较长的残药性,可能会对下茬作物产生一定的药害⑥抗药性。由于磺酰脲类除草剂的选择性较高,作用靶标较为单一,连续使用容易诱发抗药性。经过事实证明,抗药性问题已经成为了磺酰脲类除草剂发展的一个瓶颈。
有机磷类除草剂;自问世以来就在世界农药工业中的地位不一般,其中最具有代表性的农药就是草甘膦,其在农药销售市场上的销售额常年居第一位。特别是在2010年左右美国发生了较大的旱情,农业种植物开始转向大豆和玉米这两种耐旱的作物,由此又进一步加大了对草甘膦的需求量。有机磷类除草剂有一部分品种的选择性较差,所以就被用作是灭生性除草剂,用在作物播种前或者种子发芽之前。像一些选择性好的有机磷类除草剂,哌草磷、胺草磷和莎稗磷可以通过植物的根茎叶被吸收,然后传至全株,最终导致杂草的死亡。
尽管草甘膦在全球农药市场所占份额巨大,但现今却饱受争议。2015年初,世界卫生组织发布宣告称美国孟山都公司所属的农药——草甘膦(商品名农达)可能会导致淋巴癌和肺癌。但仅仅数月过后,在同年11月欧盟食品安全监管机构(EFSA)经调查发布的报告却认为,草甘膦并不会使人致癌。为此草甘膦在全球市场的销售量也因为这两项报告而发生了波动,但不可否认的是有机磷类除草剂在世界农业史上的重要性,对现今也有及其重要的价值。
1.3唑啉草酯的物化性质
唑啉草酯英文名为pinoxaden;化学名称:8-(2,6-二乙基-4-甲基苯基)-1,2,4,5-四氢-7-氧-7H-吡唑〔1,2-d〕〔1,4,5〕氧二氮卓-9-基2,2-二甲基丙酸酯;分子式为:;结构式如下图所示[10]:

图1.1唑啉草酯的结构式
唑啉草酯属新苯基吡唑啉类除草剂,作用机理为乙酰辅酶A羧化酶(ACC)抑制剂,造成脂肪酸合成受阻,使细胞生长分裂停止细胞膜含脂结构被破坏,导致杂草死亡。纯净的唑啉草酯从外表看起来为白色细粉末;其熔点为120.5~121.6℃; 在335℃时发生热分解;蒸气压:2.0×10-9MPa(20℃);在水中溶解度(25℃):200mg/L;农药的剂型为5%乳油。
1.4乙酰辅酶A羧化酶(ACCase)抑制剂类除草剂的简介
乙酰辅酶A羧化酶(ACC)抑制剂类除草剂属于超高效除草剂,对于禾本科的杂草有良好的去除性,却对双子叶植物非常安全。由于此除草剂的作用位点较为单一,所以常年使用只会增加植物的抗药性,现如今抗药性的增加已经成为了乙酰辅酶A羧化酶(ACC)抑制剂类除草剂的发展瓶颈。
ACCase是植物体合成自身脂肪酸所需的一种关键酶, 首先需要这种酶的催化作用合成一种关键的代谢产物——丙二酸单酰辅酶A, 这是植物体合成脂肪酸的首要关键步骤, 然后在脂肪酸合成酶作用下形成脂肪酸,最后形成植物体自身所需的不饱和脂肪酸。如果乙酰辅酶A羧化酶抑制剂类除草剂抑制了乙酰辅酶A羧化酶的活性,那么丙二酸单酰辅酶A的合成受阻,则会导致植物体细胞膜结构的破坏,透性增加,最后 细胞破坏植物体发生死亡。
1.4.1乙酰辅酶A羧化酶(ACCase)抑制剂类除草剂的分类
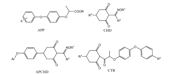
ACCase最开始发现于1958年,与ALS(乙酰乳酸合酶)和PPO(原卟啉原氧化酶)同样是一种高效的靶标酶,对于双子叶植物有高度的选择性,并且对人和哺乳动物几乎没有毒性,在环境中也容易降解。截至目前为止,ACCase类除草剂有以下几种分类:芳氧苯氧基丙酸类(APP)除草剂,环己烯酮类除草剂(CHD),肟醚类环己二酮类除草剂(APCHD)和三酮类环己二酮除草剂(CTR)。各类除草剂的化学结构如下:

图1.2各类除草剂的化学结构式
1.5研究进展
1.5.1国外研究进展
唑啉草酯最开始是由美国的先正达公司开发出来的,仅仅在其上市三年之后就突破了一亿美元,可以说其发展极为迅速,并且成为了当今五大除草剂之一,另外四种分别是硝磺草酮、草甘膦、百草枯和异丙甲草胺,所以说在今后几年先正达公司势必会不遗余力地去开发唑啉草酯,加大开发力度。并且唑啉草酯的专利权将于2019年到期,先正达公司也会抓紧时间开发唑啉草酯的复配剂型或者其他衍生物,这对于世界各国也是一场速度的较量。
1.5.2国内研究进展
虽说目前唑啉草酯的专利还未到期,但是目前中国已有好几家公司在进行唑啉草酯合成路线的探究,争取提高收率,降低合成成本,并且试验田的农试也已接近尾声。据报道,截止至2017年3月份,在国内已有56个产品获得批准进行田间试验。在试验的产品中既有单一剂量的唑啉草酯,也有唑啉草酯与甲基二磺隆、双氟磺草胺炔草酯和甲基二磺隆等的复配产品。这些产品的主要溶剂有乳油和可分散油悬浮剂;这些产品如在实验成功后将可用于一年生的禾本科杂草的去除。
1.6本文研究的目的和内容
1.6.1本文研究的目的
随着农药工业的迅速发展,现代农业也已离不开农药和化肥。但是现如今农药的环境友好性,降解性和毒性已经成为突出的问题,严重影响了农药优良性能的发挥,国内外也对农药的各项指标做了硬性规定。因此,研制出超高效的农药以降低农药的使用量,是符合当今发展要求的。唑啉草酯正是我们所寻求的一种环境友好型、低毒性和高效性的农药。
并且农药中间体的制备正是衡量农药生产技术水平高低的一个重要指标,所以本文讨论的是合成唑啉草酯重要中间体[1,4,5]氧二氮杂庚烷二氢溴酸盐的合成。选择合适的反应物配比,探究反应时间和反应温度对产品收率的影响,选择较优的合成工艺,来达到较好的质量指标。对各步反应的产物使用GC,NMR,HPLC等检测方法进行分析和表征,以求获得最佳条件下的收率和纯度。
1.6.2本文研究的内容
通过查阅国内外文献可以了解到,唑啉草酯主要通过两个片段合成得到,由[1,4,5]氧二氮杂庚烷二氢溴酸盐和2,6-二乙基-4-甲基苯丙二酸二甲酯经胺解和酯化2步反应得到唑啉草酯[15]。
本文主要探究的是唑啉草酯重要中间体[1,4,5]氧二氮杂庚烷二氢溴酸盐的合成,并通过GC,NMR,HPLC等检测方法进行分析和表征,来提高各步反应的收率和纯度,经过查阅文献,最终确定的反应路线如下图所示:

以二甘醇为起始原料与甲磺酰氯进行酯化反应得到二甘醇二甲磺酸酯,随后二甘醇二甲磺酸酯与二叔丁基叠氮草酸进行环合得到4,5-二叔丁氧羰基-[1,4,5]氧二氮杂庚烷。二叔丁基叠氮草酸可以由水合肼和二碳酸二叔丁酯合成得到。得到的4,5-二叔丁氧羰基-[1,4,5]氧二氮杂庚烷在酸性条件下再脱去Boc保护基,即可得到所需的最终产物[1,4,5]氧二氮杂庚烷二氢溴酸盐,通过核磁共振仪验证得到的产物。
第2章 二甘醇二甲磺酸酯与Boc酸酐的合成
2.1主要原料
表2.1实验试剂
试剂名称 | 规格 | 产品型号 |
一缩二乙二醇 | 分析纯 | 国药化学试剂有限公司 |
甲基磺酰氯 | 分析纯 | 国药化学试剂有限公司 |
三乙胺 | 分析纯 | 国药化学试剂有限公司 |
二氯甲烷 | 分析纯 | 国药化学试剂有限公司 |
无水硫酸钠 | 分析纯 | 国药化学试剂有限公司 |
水合肼 | 分析纯 | 国药化学试剂有限公司 |
二碳酸二叔丁酯 | 分析纯 | 国药化学试剂有限公司 |
2.2主要仪器
表2.2 实验仪器
名称 | 型号 | 厂家 |
智能数显恒温油/水浴锅 | DF-101S | 巩义市予华仪器有限责任公司 |
旋转蒸发仪 | RE-201D | 巩义市予华仪器有限责任公司 |
循环水式多用真空泵 | SHB-Ⅲ | 郑州长城科工贸有限公司 |
真空干燥箱 | DZ-1BCⅡ | 天津市泰斯特仪器有限公司 |
循环真空油泵 | T242 | 圣斯特国际有限公司 |
鼓风电热恒温干燥箱 | 101-1AB | 天津市泰斯特仪器有限公司 |
2.3二甘醇二甲磺酸酯的合成
2.3.1实验步骤

以上是毕业论文大纲或资料介绍,该课题完整毕业论文、开题报告、任务书、程序设计、图纸设计等资料请添加微信获取,微信号:bysjorg。
相关图片展示:







课题毕业论文、开题报告、任务书、外文翻译、程序设计、图纸设计等资料可联系客服协助查找。
