牙科修复复合树脂材料玻璃化转变温度的计算模拟研究毕业论文
摘 要
目前,牙科修复复合树脂因其具有良好的塑性、耐磨性、色泽美观,机械性能优异、生物相容性好等优点而被广泛应用于口腔临床领域。常用的牙科修复复合树脂主要由树脂基体、填料、光引发剂以及偶联剂组成。其中,最常用的有机单体是双酚A-甲基丙烯酸缩水甘油酯(Bis-GMA),常用的稀释剂是二甲基丙烯酸三乙二醇酯(TEGDMA)。目前,学者们大多采用实验方法对牙科修复复合树脂进行研究,难以探究复合树脂的微观性能和行为。分子动力学模拟,作为一种原子/分子尺度的模拟方法,则可以从微观层次揭示材料的变化机理,从而弥补实验的不足。因此,本课题将采用分子动力学模拟方法,对牙科修复材料的性能进行计算研究。
本课题选用Bis-GMA单体和稀释剂TEGDMA作为复合树脂的有机基体,采用纳米二氧化硅作为无机填料,通过分子动力学模拟方法研究纳米填料含量对牙科修复复合树脂的结构和性能影响。模拟中,使用分子模拟软件Materials Studio (MS)构建纳米颗粒树脂复合模型,即Bis-GMA/TEGDMA质量比为70/30,纳米二氧化硅填料含量分别为0、5、10、15和20 wt%。并且,计算不同纳米无机填料含量的树脂复合模型的玻璃化转变温度及聚合分子回转半径,研究纳米填料含量对复合材料玻璃化转变温度和聚合分子回转半径的影响及其变化机理。研究发现,随着纳米二氧化硅无机填料含量的增加,复合树脂的玻璃化转变温度呈现先升高后降低的变化规律,聚合分子回转半径则不断减小。因此,本课题的研究可以表明,纳米二氧化硅无机填料含量会对牙科修复复合树脂的玻璃化转变温度及聚合分子回转半径产生重要的影响,从而为开发设计更理想的牙科修复材料提供理论数据支持。
关键词:牙科修复复合材料;分子动力学;玻璃化转变温度;回转半径
Abstract
Dental restorative composite has been widely used in dental clinic application due to its good plasticity, wear resistance, superior esthetics, excellent mechanical properties, and good biocompatibility. The commonly used dental resin composite is mainly composed of resin matrix, filler, photoinitiator and coupler. Among them, the most commonly used organic monomers are bisphenol a-glycidyl methacrylate bis-gmaan (Bis-GMA), and the diluent triethylene glycol dimethacrylate (TEGDMA). At present, most of the researchers use experimental methods to study dental restoration composites and it is difficult to explore the microcosmic properties and behavior of composites. Molecular dynamics simulation, as an atomic/molecular scale simulation method, can reveal the mechanism of material change from the microscopic level, thereby making up for the deficiency of the experiment. Therefore, the performance of dental restorative materials will be studied by molecular dynamics simulation.
In this work, Bis-GMA monomer and diluent TEGDMA were chosen as organic matrix of the dental composite, and nano-silica was used as inorganic filler. The effect of nano-filler content on the structure and properties of dental composite was studied by molecular dynamics simulation. In the simulation, the Materials Studio software package was used to construct the dental composite models, that is, the mass ratio of Bis-GMA/TEGDMA is 70/30, and the content of nano-silica filler is 0, 5, 10, 15 and 20 wt%, respectively. Moreover, the glass transition temperature and the radius of gyration of polymeric molecules were calculated for the resin composite with different concentrations of nano-fillers. The effects of nano-filler content on glass transition temperature and radius of gyration of polymer were studied. It is found that the glass transition temperature of the composite increases initially and then decreases with the inorganic filler content of nano-silica, while the radius of gyration of polymer molecule decreases. Therefore, the research in this work can show that the content of nano-silica inorganic filler has an important effect on the glass transition temperature and the radius of gyration of polymeric chains. Thus, theoretical data support is provided for the development and design of more ideal dental restoration materials.
Key Words: Dental restorative composite; Molecular dynamics; Glass transition temperature; Radius of gyration
目 录
第1章 绪论 1
1.1 课题背景 1
1.2 牙科修复复合树脂国内外的研究现状 3
1.2.1 复合材料的研究 3
1.2.2 复合材料力学性能的研究 4
1.2.3 复合材料玻璃化转变温度的研究 4
1.3 研究意义 4
1.4 研究内容 5
第2章 分子动力学 6
2.1 系综的选择 6
2.2 力场的选择 6
2.2.1 COMPASS力场 6
2.2.2 PCFF力场 7
2.2.3 CVFF力场 7
2.3 周期性边界条件 7
2.4 时间步长 8
2.5 Materials Studio软件介绍 8
2.5.1 Amorphous Cell模块 8
2.5.2 Visualizer模块 9
2.5.3 Forcite Plus模块 9
第3章 Bis-GMA/TEGDMA复合树脂的性能计算 10
3.1 引言 10
3.2 分子动力学模型构建 10
3.3 分子动力学平衡计算 13
3.4 结果分析 14
3.4.1 玻璃化转变温度 14
3.4.2 回转半径 18
3.5 本章小结 19
第4章 结论与展望 20
4.1 结论 20
4.2 展望 20
参考文献 21
致谢 23
第1章 绪论
1.1 课题背景
随着人类社会的不断进步与发展,人类的平均寿命呈上升趋势。近年来,我国已经逐步迈入到人口老龄化阶段。然而,由于人类生活水平的提高,饮食结构的转变,不良的生活习惯等,人类的牙齿寿命却在不断下降,需要进行牙齿修复的人群逐渐增多。因此,牙科修复材料的研究变得尤其重要。当前,牙科修复材料历经了几十年的发展取得了极大的进步,从传统的银汞合金到玻璃离子水门汀再到当前的纳米复合树脂材料,材料的性能得到了极大的改善。传统的银汞合金是由金属汞与一定比例的银锡多元合金粉在研磨或振动条件下发生反应而形成的一种合金。该材料具有较好的物理性能,但其生物相容性以及美观性较差,潜在的生物毒性等问题都导致该材料已基本退出当前市场[1,2]。玻璃离子水门汀(Glass Ionomer Cement,简称GIC)自20世纪70年代开始应用于临床,主要是由铝玻璃和多丙烯酸混合而成的化合物。玻璃离子水门汀的类型多样,主要有传统玻璃离子水门汀、单粉型玻璃离子水门汀、银粉玻璃离子水门汀、可见光固化型玻璃离子水门汀、改性玻璃离子水门汀等。该材料对牙齿有较好的化学粘结作用,且对牙髓刺激性小,但其坚硬度、耐磨性以及色泽等方面存在明显的缺陷,使其应用前景受限[3]。复合树脂材料经过多年的发展,现已广泛应用于口腔临床[4]。复合树脂材料具有优良的耐疲劳性、较高的比强度、良好的抗腐蚀性和减震性能。材料良好的性能使其在牙科修复、航空航天、汽车行业、机械电子行业、建筑行业等领域都有非常广泛的应用,并在近几年取得飞速发展。
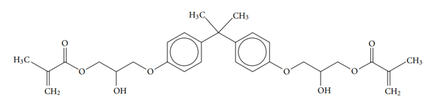
早在1960年,临床应用的牙科修复材料就进入了突飞猛进的发展时期,越来越多的学者开始致力于研究二甲基丙烯酸单体体系。尤其是在1962年,Bowen合成了双酚A-甲基丙烯酸缩水甘油酯(Bis-GMA)[5],但这种单体粘度过大,难以用于实际操作。因此,Bowen等人尝试在体系中加入稀释剂单体,从而有效地降低了有机单体的体系粘度。自此,牙科修复材料进入了新时代,复合树脂进入了牙科修复领域。目前,随着新型树脂基体及新型填料的开发与应用,牙科修复复合树脂的性质得到很大改善,在某些方面甚至已经超过了以前常用的银汞合金,有逐步取代银汞合金并广泛用于牙科修复领域的趋势。常用的牙科修复复合树脂主要由树脂基体、填料、光引发剂以及偶联剂组成。其中,最常用的有机单体是二甲基丙烯酸酯类,如Bis-GMA(其分子结构如图1.1所示),常用的稀释剂是二甲基丙烯酸三乙二醇酯(TEGDMA,其分子结构如图1.2所示)。

图1.1 Bis-GMA分子结构
图1.2 TEGDMA分子结构
填料在复合树脂中起着增强剂的作用[6,7],可以改善复合树脂的物理机械性能,如耐磨性、抗压强度、表面硬度等,减少材料的聚合收缩,降低热膨胀系数,增强树脂基体的防裂性能,减少基体中的裂纹。研究表明,填料的种类、硬度、粒度分布、X射线阻射性、折光指数以及其在复合树脂中的含量均会影响到复合树脂的性能[8]。随着对复合树脂研究的深入,学者们发现复合树脂的性能在很大程度上会受到填料的影响,因此学者们越来越重视对填料的研究。填料按性质可分为有机填料和无机填料,与有机填料相比,无机填料在一定程度上更能有效地阻碍材料中疲劳裂纹的扩展[9,10]。目前常用的无机填料有气相二氧化硅、玻璃粉、石英、钡、锶、锆玻璃粉和陶瓷粉等。除了常用的无机填料,人们还对纤维填料进行了研究,如金属纤维、碳纤维、超高分子量聚乙烯纤维、超高模量聚乙烯纤维、玻璃纤维等[11]。还有一类新型的无机填料是晶须,这是一种单晶体短纤维的物质,其弹性模量和拉伸强度较高,但成本高且生成率低。树脂与填料的结合状况也会极大地影响复合树脂材料的性能。无机填料的粒径、含量等也会对复合树脂的性能有着一定的影响,如填料的粒径较大可使复合树脂的强度提高。目前,由于二氧化硅耐磨性好、硬度高,具有良好的分散性[12],且制备过程简单、粒径易控制,价格也相对低廉,因此在牙科修复复合树脂的无机填料方面二氧化硅的使用最为广泛。实验中,将纳米二氧化硅粒子均匀地分散至树脂材料中,可获得具有较好韧性、强度、生物相容性、耐腐蚀性以及美观性的牙科修复材料[13]。
目前,针对牙科修复材料的研究方法多种多样,但大部分是通过实验测量,操作较复杂且难以从微观层面研究复合材料。计算机分子模拟技术与实验相比,能够模拟分子的静态结构和动态行为,从而弥补实验中的不足,得到基于宏观层面的实验中难以得到的结果,进而指导实验的进行。其中,分子动力学模拟方法Molecular Dynamics (MD)经过多年的发展,使得材料的MD计算精度越来越高,适用的范围也越来越广。目前MD已成为材料、药物设计、生物物理等领域的重要研究方法。因此,本课题采取MD模拟的方法,研究不同含量纳米二氧化硅无机填料对复合材料玻璃化转变温度和微观结构的影响,为研究新型的牙科修复材料提供一定的理论指导。
1.2 牙科修复复合树脂国内外的研究现状
牙科修复复合树脂由于价格较低、美观性好,在临床上得到了广泛应用。然而,复合树脂的机械性能和耐磨性较差限制了它的发展。近年来,国内外对于牙科修复材料的研究越来越重视,并取得了一定的成果,已有的实验和计算数据为本课题的研究提供了基础与指导。
1.2.1 复合材料的研究
张东清等人[14]以Bis-GMA和TEGDMA共同作为树脂基体,加入经过硅烷偶联剂(KH-570)表面处理的纳米二氧化硅(SiO2)和二氧化锆(ZrO2),通过原位分散法成功研制出新型复合树脂。采取高速搅拌和超声分散等制备工艺改善了纳米填料分散体系,提高了该材料的机械性能。接着运用X射线衍射(XRD)、扫描电子显微镜(SEM)等实验手段测定纳米复合树脂材料的显微硬度、弯曲强度等。
钱文昊等人[10]以Bis-GMA为树脂基体,通过原位共聚和共混的方法制备了两种复合树脂粘结剂,将其进行牙根与纤维桩的粘结实验,研究了温度与机械疲劳对两种树脂粘结剂剪切粘结强度的影响,并按不同部位进行了比较,达到进口牙用粘结剂的效果,为临床使用提供参考。
谭彦妮等人[15]探究了以Bis-GMA作为基体,以TEGDMA为稀释剂的牙科光固化复合树脂的结构和性能,发现随着TEGDMA含量的增加,树脂体系的双键转换率也增加。TEGDMA可以降低Bis-GMA基体的粘度,提高双键转化率并且增大材料的聚合度,使材料更为致密。并且实验探究了填料增加对热膨胀系数的影响,表明填料增加导致热膨胀系数减小。
Song等人[16]采用MD模拟方法,研究了一种新型含多功能多面体低聚硅氧烷(POSS)的牙科复合树脂的物理性能,并提出了一种交联聚合物模型的改进方法。通过宽X射线散射(WXRS)和体温特性验证了该技术的优势以及模型和力场的准确性,预测了各种POSS树脂的力学性能和体积收缩率,详细分析了POSS对牙科复合树脂的影响。
1.2.2 复合材料力学性能的研究
Parisa等人[8]研究了含硅烷模化二氧化硅纳米粒子的牙科树脂及其复合材料在静、动载荷作用下的力学性能,用扫描电镜观察断口形貌,并对静态测试进行有限元分析,同时研究频率、温度和硅烷化纳米粒子的存在对粘弹性能的影响,并进行了动态力学试验。
Wu等人[17]通过分子动力学模拟构建了高转化率的环氧树脂聚合物网络体系,研究了环氧树脂的力学性能,计算得到了系统的密度和剪切模量、杨氏模量和体模量,并验证了分子动力学模拟方法在高分子复合材料领域的可行性。
余清华等人[18]利用分子模拟软件Materials Studio (MS) 构建了两种碳纳米管模型,计算了模型的力学参数,对碳纳米管进行拉伸性能分析。并且研究了聚丙烯的性能,探究了碳纳米管的杨氏模量与管径的关系。通过分析碳纳米管/聚丙烯复合材料泊松比和弹性模量的计算数据,预测碳纳米管/聚丙烯复合材料的性能及其影响因素。
1.2.3 复合材料玻璃化转变温度的研究
Guang等人[19]测定了不同气相二氧化硅含量的环氧纳米复合材料体系的玻璃化转变温度和转化率,并用差示扫描量热法(DSC)分析了不同固化温度下等温固化的样品性质,并探讨了气相二氧化硅对玻璃化转变温度和转化率的正面以及负面影响。实验证明玻璃化转变温度会随着固化时间而逐渐增加,并在较低的固化温度下达到较低的极限值。二氧化硅填充的样品在固化的初始阶段显示出更高的玻璃化转变温度,但其玻璃化转变温度在固化的晚期阶段会降低。
闫晓丽等人[20]通过使用动态力学热分析测量、示差扫描量热和正电子湮没寿命谱测量的实验方法,测量出复合材料玻璃化转变温度(Tg)的值并且推导出其变化趋势。实验证明复合材料的玻璃化转变温度随着碳纳米管的增加而降低,并分析其原因可能是由于基体中自由体积增加所导致的。
杜灵根等人[21]借助MS软件构建低固化度交联耦合的双酚A型环氧树脂交联结构模型,采取MD计算模拟的模块,计算出环氧树脂酸酐固化物的玻璃化转变温度。并且对该材料的玻璃化转变温度进行实验研究,通过将计算数据与实验结果对比,初步验证了模拟计算方法的可行性与准确性。
1.3 研究意义
以上是毕业论文大纲或资料介绍,该课题完整毕业论文、开题报告、任务书、程序设计、图纸设计等资料请添加微信获取,微信号:bysjorg。
相关图片展示:







课题毕业论文、开题报告、任务书、外文翻译、程序设计、图纸设计等资料可联系客服协助查找。
