典型轻烃表征燃料燃烧特性数值模拟——以正戊烷为例毕业论文
摘 要
正戊烷是一种C原子数为5的轻烃物质,并且是一种清洁燃料,目前,主要的研究都在其滞燃期与燃烧所放出的活化能上,此文研究了一种轻烃模型燃料正戊烷,寻找其反应机理和分析燃烧过程中的中间产物,并模拟了正戊烷在压力为1.0-2.5atm,温度为1000-1500K当量比为0.5的燃烧过程,并研究其反应过程中产生的中间产物的种类,着重分析了正戊烷燃烧在不同压力下滞燃期随温度的变化曲线,模拟了燃烧过程,研究了预热温度对于着火延迟的影响,从理论上分析提高燃烧稳定性的方法,并与相关文献做了比对,分析了其间的差异和原因。使用了软件converge对正戊烷的燃烧进行模拟,并且使用了不同研究装置包括6170柴油机和一个定容弹。之后又着重分析了正戊烷燃烧的层流火焰速度,与不同但燃料进行了对比(1-戊烯,2-戊烯和2-甲基-2-丁烯),讨论了他们之间层流火焰速度差异的原因和与绝热火焰温度的关系。研究结果表明,温度越高,压力和过氧系数越大,滞燃期越短。
关键词:正戊烷;燃烧;中间产物;滞燃期;层流火焰速度
Abstract
N - pentane is a light hydrocarbon substance with five C atoms and is a clean fuel. At present, the main research is on the activation energy released during the ignition period and combustion.A light hydrocarbon fuel n-pentane was studied.Finding reaction mechanism and the intermediate products were analyzed in the combustion process. The combustion process of n-pentane at pressure of 1.0~2.5atm and 1000~1500 K equivalent ratio of 0.5 was simulated, and the species of intermediate products produced in the reaction process were studied, and the combustion of n-pentane was analyzed. The combustion process is simulated with the change curve of the ignition delay with the temperature under the same pressure. The effect of preheating temperature on the ignition delay is studied. The method of improving the combustion stability is theoretically analyzed and compared with the related literature, and the differences and reasons are analyzed. The software converge was used to simulate the combustion of pentane, and different models including 6170 diesel engine and a constant volume bomb model were used. Then the laminar flame velocity of n-pentane combustion was analyzed and compared with the different fuel (1- pentene, 2- pentene and 2- methyl -2- butene). The reasons for the difference of laminar flame velocity and the relation with the temperature of adiabatic flame were discussed.The results show that the higher temperature, the greater pressure and oxygen peroxidation coefficient, and the ignition delay time is shorter.
Key wards:n-pentane;combustion;intermediate products;ignition delay time;laminar flame velocity
目录
第1章 绪论 1
1.1引言 1
1.2 研究内容 2
1.3 国内外研究现状 2
第2章 正戊烷反应机理及中间产物 6
2.1 反应机理 6
2.2 中间产物 9
第3章 正戊烷的燃烧特性数值模拟及比对 12
3.1 滞燃期 12
3.2层流火焰速度 15
第4章 结论与展望 22
4.1结论 22
4.2 对正戊烷燃料的展望 22
参考文献 24
第1章 绪论
1.1引言
节约能源是我国的基本国策。目前我国正处在工业化、城市化迅速发展的进程中,随着经济快速增加和人口增长,能源和资源供给不足,环境容量有限的矛盾越来越突出。进入二十一世纪以来,能源紧缺和环境保护问题已经为越来越多的人们所关注,成为经济社会健康发展的制约因素。研究并开发正戊烷等轻烃燃料,可以在一定程度上解决我国目前的能源问题和污染问题,作为燃料可替代燃煤和燃油,轻烃是一种洁净、价廉的新型液体燃料,属石化行业的副产品。随着我国公用事业的改革,必将得到迅速发展对我国的环境保护和能源可持续发展有着战略意义。戊烷具有热值高、安全、环保、使用方便、价格适中等优点,可作为常规燃料的理想替代品,解决无天然气等燃气资源的中小城镇生活用气问题;同时,作为绿色燃料,戊烷是城市燃料多样化的有益补充。天然气、煤气能以密集的输气管网覆盖大中型城市的众多用户,但对于距气源较远的很多零星分布的中小城镇来说,则必将付出高昂的管道埋设投资,相应的气价提升则令用户难以承受,因此人们更多地选择使用液化气。虽然以罐装形式使用的液化气运输方便,但燃气压力波动较大,经常地更换气罐也颇为麻烦。使用戊烷燃料,则可以克服二者的缺点。
由于石油能源的短缺以及其所引发的环境问题,使得内燃机的代替能源技术得到越来越广泛的研究,其中包括风能,太阳能,生物能等可再生能源,也包括一些新能源如核能,乙醇,天然气等能源。其中,研究比较成熟的技术包括天然气合成油技术,生物柴油技术,燃料乙醇技术等。目前为止,对这些燃料的研究主要集中在从C2到C4上,对于C5燃料例如正戊烷,我们不但可以研究其纯燃料代替柴油的可行性,同时,用柴油引燃的二元燃料燃烧技术也是重点。二元燃料是指将被引燃燃料在进气道与空气融合,进入缸内压缩后由缸内喷入的少量引燃燃料如柴油等为混合体提供点火源。其被引燃燃料不但包括甲醇乙醇等常见燃料,还包括正戊烷等轻烃燃料。正戊烷是一种很有前途的清洁替代燃料-天然气中的一种成分,而且被认为是一种理想的替代燃料,是大烃氧化和轻、气、重液态烷烃转化过程中的中间物种
对于正戊烷,这是一个受重视的研究,不仅这些研究集中在促进我们整体理解的特殊的方面,而且这些研究采取了多方面的方法,将这些不同的方法结合起来,团结个人努力并提供更多更有用的研究结论,实现更深层次的研究。
1.2 研究内容
(1)通过阅读文献资料,分析正戊烷燃烧过程中的中间产物和反应机理,并比对不同文献中反映机理的差异,进行分析。这有助于对正戊烷燃烧的模拟,同时,这也是研究一种燃料的第一步骤。
(2)使用软件converge对正戊烷的燃烧进行模拟,同时参照文献中的实验装置与边界条件,做出相同条件下滞燃期随预热温度,压力等条件的变化而变化的曲线图,分析主要影响滞燃期的因素,进而提出一些提高燃烧稳定性的方法
(3)同样是使用converge软件进行燃烧模拟,主要研究与分析正戊烷的层流火焰速度变化的影响因素,尤其是在当量比从0.5到1.8之间变化,之后分析层流火焰速度与温度压力之间的关系,通过文献中的关系式,验证自己实验的准确性。
(4)通过公开发表的文献实验数据对模拟结果进行验证,分析与他们之间的差异以及产生这些差别的原因,最后对自己得到的结论进行总结,对之后的研究方向进行分析与展望。
1.3 国内外研究现状
目前对于正戊烷的研究结果可知,正戊烷的着火温度为260℃,高热值为169.34MJ/Nm3,低热值为16.74MJ/Nm3,爆炸极限的下限为1.4V%,上限为8.3V%,燃烧的理论空气量为38.08
,理论烟气量为41.08
。
戊烷为脂肪族饱和烃,化学性质稳定,常温常压下与酸、碱不作用。600℃以上高温或在适当催化剂存在下发生热解,生成丙烯、丁烯、异丁烯、丁烷和异丙烷等混合物。主要用于用作溶剂,制造人造冰、麻醉剂,合成戊醇、异戊烷等。用于配制标准气、校正气及用作分子筛脱附剂。气相色谱分析标准。用作麻醉剂、溶剂、低温温度计的制造以及用于制造人造冰、戊醇、异戊烷等。所以在作为燃料方面,正戊烷还有很大的研究潜力,轻烃(C5,C6)是位于液化气与石油之间的烃类,其燃气的产生方式很广泛,主要来源于油田,炼油厂,石油化工厂等,凡密度在0.63~0.68kg/L,馏程的温度不高于75℃、90馏程的温度不高于135℃、总含硫量不大于0.04的液态轻烃均可以作为制气原料[1]。轻烃燃料的燃烧目前主要采用方式为气化燃烧,主要分为以下两种形式:一是空气鼓泡式燃烧,产生的空气和轻烃的混合气通过炉具和燃烧器燃烧。该方法对轻烃的质量有严格要求,质量指标如表1.1所示。
表1.1 民用轻烃燃料性能[1]
项目 | Ⅰ号质量指标 | Ⅱ号质量指标 |
密度 |
|
|
馏程 | <30 | <40 |
馏程 | <35 | <60 |
馏程 | <65 | <90 |
低热值 | ≥40000 | ≥40000 |
| <0.04 | <0.04 |
| 1 | 1 |
| <1.5 | <1.5 |
| 5 | 2 |
| 无 | 无 |
另一种方式是强制气化方式,通常采用加热气化。为了安全,规定用于加热的介质温度不宜高于95℃, 轻烃燃料的温度不宜高于45℃。该方式的单位容积的气化强度明显高于鼓泡制气,设备体积小,但系统较复杂, 要实现安全制气,其运行和维护成本明显高于鼓泡制气。该工艺通常以水作热媒体,采用低压低温和定量配气工艺装置。由定容定压无油空气泵来的气体进入空气贮罐,轻烃燃料经定容泵进入气化器,在以热水为热载体的定温定压条件下进行气化,并进入分离器进行气液分离后,再进入燃气贮罐与空气贮罐送来的定压定量空气进行混合,生成设计热值的可燃混合气体,完成气化配气工序。然后经稳压隔爆装置送入燃烧器进行燃烧。
然而,类似与正戊烷的轻烃燃料制作起来不是很容易,尤其是对工艺及原料有很高的要求,并非在C5到C6之间的材料都可以制作正戊烷等燃料,并且对制气工艺本身和工程设计安装有严格要求,虽然这类燃料到目前为止已经经过了许多的研究和不断地发展,但是因为他们有着复杂的成分和反应,所以需要分析它们的燃烧过程,中间产物,燃烧特性等,以便研究新的燃烧技术。许志明等[2]人曾对正戊烷的相态变化特性进行过研究,测定了相态变化的分界线,但由于我国目前在液体轻烃的两相流动及洁净燃烧的基础研究方面还是空白,在液体的储存、运输及燃烧方面的规范及规程还不健全,影响了轻烃燃料的应用和推广。所以,液体轻烃的两相流动和燃烧技术是目前轻烃燃料健康快速推广的“瓶颈”问题。
虽然国内已有许多使用正戊烷当燃料的实验与研究,来代替柴油使用,如正戊烷喷雾特性实验[3],为了改善发动机低负荷下的喷雾,优化发动机,记录下喷雾形态如图1.2所示
3kPa 50kPa 80kPa 100kPa
(a)293K
3kPa 50kPa 80kPa 100kPa
(b)333K
3kPa 50kPa 80kPa 100kPa
(c)363K
图1.2 正戊烷在喷油后1ms时的喷雾形态[3]
在国外,许多研究小组已经对正戊烷进行了建模研究,由于烷烃在实际燃烧应用中的普遍性,很多学者很重视对类似于正戊烷的烷烃进行研究分析,汽油、柴油和喷气燃料的重要部分是由烷烃组成的,它们的点火性能、放热率、燃烧速度和化学分解途径都需要很好地表征,以便改进它们的燃烧器的设计。不仅如此,而且随着动力学控制的低温燃烧器技术的出现,如可以实现低排放的低温预混合燃烧RCCI,所以燃料的化学特性比以往更为重要[4]。
目前的研究建立在一些先前的作品中,通过将新的反应类别结合到正戊烷机制中,以预测在最近的实验中的新型多氧物种。
Ghazi等[5]对正戊烷的点火的临界条件和活化能进行过研究分析,它的适用性已经得到了众多研究者的验证,一些更为现实的标准随后被提出。目前,国外对于正戊烷等轻烃燃料的研究着重于滞燃期,反应中间产物以及与空气混合燃烧的动力学。
Maria等[6]研究了正戊烷-空气混合物在常压和亚大气压下气相点火的总动力学参数。根据诱导延迟、化学放热速率和最小(临界)能量的温度和压力关系计算。得到的活化能在8之间变化。
John等[7]研究了正戊烷在1到10atm,温度在500至1100K的范围内并且在当量比为0.3~2的氧化,建立了新的喷射搅拌反应器,并且对于正戊烷氧化反应的研究可以充分地预测滞燃期,层流火焰速度,反应物种类浓度分布等参数。
Anne等[8]研究了正戊烷低温氧化过程中氢过氧化物的反应在自燃的发生中起的作用,烷烃氧化过程中烯烃氢过氧化物的生成等。
Patricia等[9]研制了一种可以用热流法测量高压下的燃烧速度的新的绝热燃烧器。并且对甲烷和正戊烷在298K和298-398K的大气压下的层流燃烧速度进行了实验测量,提出了层流火焰速度随温度压力变化的经验关系式,对于甲烷的实验结果符合良好,但对于正戊烷的实验结果,随着压力的增加,与关系式的偏差增大,说明开发大燃烧器可用数据范围有限。
第2章 正戊烷反应机理及中间产物
2.1 反应机理
正戊烷(n-Pentane)化学式为C5H12,外观为无色液体,密度为0.626
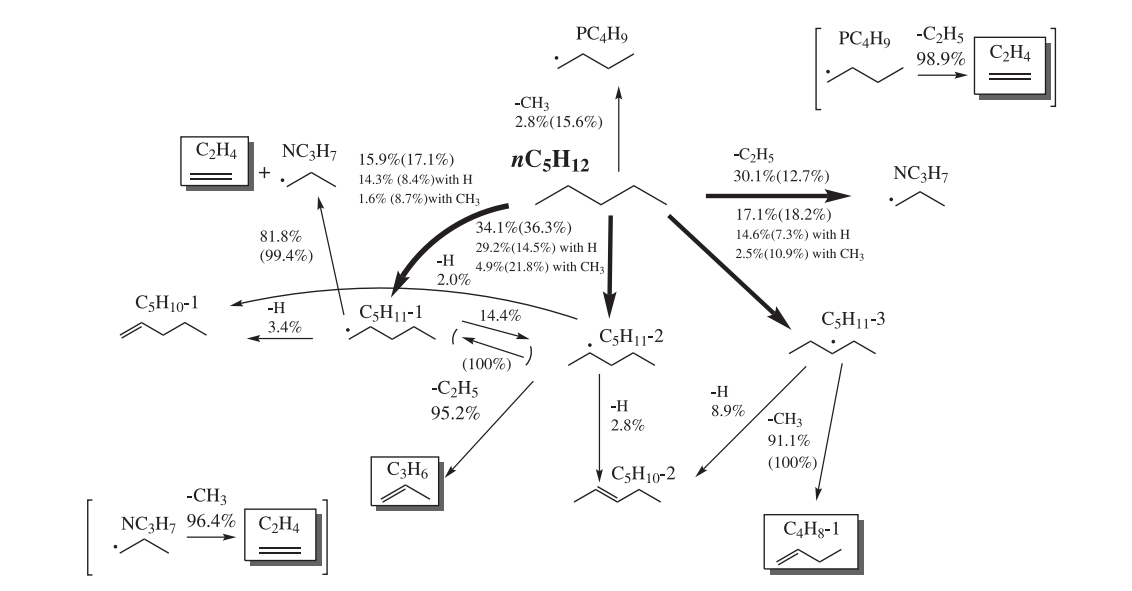
,不溶于水,熔点为-129.8℃,沸点为36.1℃,闪点为-40℃,在空气中稳定。由于本课题涉及到正戊烷的燃烧,并使用converge软件模拟其燃烧,第一步准备寻找到一个正戊烷的燃烧机理文件,张红梅等[10]人发表的正戊烷热裂解一次反应机理的数值模拟,他们结合了两种软件,提出了一种单体烃热裂解自由基机理的理论研究新方法, 并用该方法研究了正戊烷热裂解的一次自由基反应机理。并且根据对正戊烷分子结构的分析,如表2.1所示,得到了其热裂解时可能发生的一次基元反应为25个并进一步计算得到了各个反应的活化能Ea和指前因子A。并根据产物分布确定了正戊烷热裂解包含18个基元反应的简化动力学模型, 并成功解释了C2H5与不同仲氢进行夺氢反应时Ea与键长数据不符的反常现象。
表2.1 正戊烷热裂解各自由基反应的活化能[10]
No | Reaction |
| A |
1 |
| 387.99 |
|
2 |
| 364.97 |
|
3 |
| 138.10 |
|
4 |
| 167.79 |
|
5 |
| 142.29 |
|
6 |
| 178.04 |
|
7 |
| 171.27 |
|
8 |
| 160.17 |
|
9 |
| 171.47 |
|
10 |
| 123.89 |
|
11 |
| 164.01 |
|
12 |
| 142.57 |
|
13 |
| 162.77 |
|
14 |
| 173.55 |
|
15 |
| 35.32 |
|
16 |
| 30.22 |
|
17 |
| 24.42 |
|
18 |
| 43.00 |
|
19 |
| 37.26 |
|
20 |
| 36.70 |
|
21 |
| 59.79 |
|
22 |
| 61.75 |
|
23 |
| 63.36 |
|
24 |
| 0 |
|
25 |
| 0 |
|
由于热裂解反应是依靠小自由基与原料不断地进行链传递反应生成产物, 故了解正戊烷的反应机理必须找到所有链传递的反应机理。通过反复计算与分析,得到正戊烷一次反应机理如图2.1.2所示。
图2.1.2 正戊烷热裂解简化路径示意图[7]
2.2 中间产物
在Kenji等[11]人所写的正戊烷、正己烷和正庚烷在单脉冲激波管中的热解中,在1~2.5atm的压力下,在1000~1500K的温度下,研究了正戊烷、正己烷和正庚烷在热解后的热解过程。采用单脉冲激波管(SPST),用气相色谱法测定反应物、中间体和产物种类。进行敏感性和反应路径分析,以确定控制燃料热解的重要反应及其对反应物和产物种类的预测浓度与实验测量值的比较。Kenji所使用的正戊烷、正己烷和正庚烷燃料的样品纯度分别为99.0%、96.0%和99.0%,并经过一系列冷冻-解冻泵循环,经水处理后进行脱气并且没有观察到更多的气体在融化固体时逸出。并且用扫描电子显微镜测量了在氩气中稀释后1.6%正戊烷、0.4%正己烷和1.0%正庚烷在1-2.5atm压力范围内组分,并对其进行了模拟。有效加热时间在1.5~2.2毫秒范围内,随着冲击速度的增加,温度升高,有效加热时间减少。
以上是毕业论文大纲或资料介绍,该课题完整毕业论文、开题报告、任务书、程序设计、图纸设计等资料请添加微信获取,微信号:bysjorg。
相关图片展示:







课题毕业论文、开题报告、任务书、外文翻译、程序设计、图纸设计等资料可联系客服协助查找。


0.63
0.66


























































