单宁酸聚乙烯亚胺共沉积涂覆改性聚偏氟乙烯膜研究毕业论文
摘 要
聚偏氟乙烯的结构决定了它的性能,可以作为优良的高分子膜材料,应用广泛。而它的疏水性限制了应用,为了改善这种性能,研究者不断探索新的方法,使用共混、共聚,表面接枝和表面涂覆等方法,寻找简单的改性效果好的方法。其中表面涂覆改性工艺最为简单,成本较低,但是经这种方法改性的膜亲水稳定性不好,因此寻找优良的改性剂来增强改性膜的亲水稳性具有重要的意义。
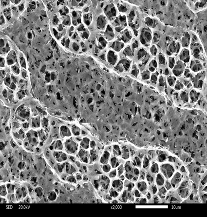
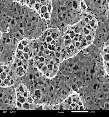
本文尝试用共沉积涂覆的方法,选取了单宁酸和聚乙烯亚胺作为改性剂来改善PVDF微滤膜的亲水性。先使用CTS/PEI溶液处理,后用单宁溶液处理,引入亲水涂层,使用扫描电镜(SEM)测试微观形貌,改性膜的膜孔变小或变少,说明表面有涂层形成,是改性的时候用的添加剂所形成的,具有亲水性。随着一步步改性,涂层也越来越多。添加剂过多,涂层会堵塞膜孔,导致难通水;添加剂过少,导致涂层无法形成,亲水性不好。用接触角仪测试接触角来表征亲水性以及用溶剂过滤器测试水通量来表征稳定性能。得到配比为1/8的膜,水接触角为17°、水下油接触角为159°,说明配比为1/8的膜亲水性好。而冲刷一周时间后,水接触角变大,说明亲水层被冲刷掉了;水通量随着冲刷时间增加而变小,说明膜孔被堵塞。用X射线光电子能谱分析聚偏氟乙烯膜表面元素的变化。在谱图中观察到Si 2p和Si 2s的峰,O/N含量增加,说明PEI,CTS和TA在原始PVDF膜的表面上被良好地涂覆。用红外光谱发现,当在CTS/PEI中浸泡聚偏氟乙烯膜,从谱图中可观察到1071cm-1和1540cm-1附近的两个弱吸收峰,这归因于CTS中的Si-O伸缩振动和PEI中的N-H伸缩振动。用单宁酸溶液进一步涂覆发现,在1605cm-1和1719cm-1处出现两个新的吸收峰,这些峰归属于PEI和TA之间的C = N键和来自TA的羧基的C = O伸缩振动, 表明TA与PEI发生迈克尔加成/席夫碱反应。
关键词:单宁酸;聚乙烯亚胺;聚偏氟乙烯膜;亲水性;接触角;涂层
Abstract
The structure of polyvinylidene fluoride determines its performance and can be used as an excellent polymer membrane material for a wide range of applications. However, its hydrophobicity limits its application. In order to improve this performance, researchers continue to explore new methods, using methods such as blending, copolymerization, surface grafting, and surface coating, to find simple and effective methods for modification. The surface coating modification process is the simplest and the cost is low, but the hydrophilicity stability of the membrane modified by this method is not good, so it is important to look for an excellent modifier to enhance the hydrophilic stability of the modified membrane. significance.
In this paper, tannic acid and polyethylenimine were selected as modifying agents to improve the hydrophilicity of PVDF microfiltration membrane by co-deposition method. The CTS/PEI solution was used for the first treatment, and then the tannin solution was used for the treatment. The hydrophilic coating was introduced and the microscopic morphology was examined using a scanning electron microscope (SEM). The membrane pores of the modified membrane became smaller or smaller, indicating that the coating was formed on the surface. is formed by the additives used in the modification and has hydrophilicity. With a step-by-step modification, more and more coatings are available. Too much additive will cause the coating to clog the pores of the membrane and cause water to be hard to pass through; too few additives will cause the coating to fail to form and the hydrophilicity will be poor. The contact angle was tested with a contact angle meter to characterize the hydrophilicity and the solvent filter was used to test the water flux to characterize the stability performance. A membrane with a ratio of 1/8 was obtained. The water contact angle was 17° and the underwater oil contact angle was 159°, indicating that the membrane with a ratio of 1/8 was hydrophilic. After a period of scouring, the water contact angle increased, indicating that the hydrophilic layer was washed away; the water flux decreased as the flushing time increased, indicating that the membrane pores were blocked. X-ray Photoelectron Spectroscopic Analysis of the Surface Elemental Variation of Polyvinylidene Fluoride Film. The Si 2p and Si 2s peaks were observed in the spectra, and the O/N content was increased, indicating that PEI, CTS, and TA were well coated on the surface of the original PVDF film. Using infrared spectroscopy, it was found that when the PVDF film was soaked in the CTS/PEI, two weak absorption peaks near 1071 cm-1 and 1540 cm-1 were observed from the spectrum, which was attributed to the Si-O in the CTS. Stretching vibration and NH stretching vibration in PEI. Further coating with tannic acid solution revealed two new absorption peaks at 1605 cm-1 and 1719 cm-1, these peaks attributed to the C=N bond between PEI and TA and C=O from the carboxyl group of TA. The stretching vibrations indicate that there is a Michael addition/Schiff base reaction between TA and PEI.
Key Words:Tannic acid; Polyethylene imine; Polyvinylidene fluoride membrane; Hydrophilicity; Contact angle; Coating
目 录
摘 要 I
Abstract II
第一章 绪论 2
1.1 选题的研究现状与发展 2
1.2 选题的意义和主要研究内容 3
1.3 膜科学与技术 3
1.4 单宁酸简介 4
1.5 聚乙烯亚胺简介 5
1.6 聚乙烯亚胺/单宁反应机理 6
第二章 改性PVDF膜的制备与测试方法 8
2.1 实验主要流程 8
2.2 实验成分及制备方法的确定 9
2.3 实验原料 9
2.4 实验设备及测试仪器 10
2.5 原料配比设计范围 10
2.6 改性样品制备 10
2.7 样品测试 11
2.7.1 水接触角 11
2.7.2 水下油接触角 11
2.7.3 水通量 11
2.7.4 扫描电镜(SEM) 12
2.7.5 X射线光电子能谱(XPS) 12
2.7.6 红外光谱(FTIR) 13
第三章 改性PVDF膜的测试结果与讨论 14
3.1 X射线光电子能谱(XPS)测试 14
3.2 红外光谱(FTIR)测试 15
3.3 扫描电镜(SEM)测试 15
3.4 改性膜的亲水性 17
3.5 改性膜的稳定性 19
3.6 本章小结 24
第四章 研究结果与展望 25
4.1 研究结果 25
4.2 展望 25
参考文献 26
致谢 28
第一章 绪论
1.1选题的研究现状与发展
聚偏氟乙烯(PVDF) 具有良好的化学稳定性、热稳定性、耐紫外辐射降解性及优良的机械性能[1]。沈熔等[2]将所制PVDF 微孔膜在250℃下、在耐脂肪族、芳香烃族、卤化物以及醇、醛等多种溶剂中浸泡72h后,不受溶剂腐蚀,膜各方面性能基本不变。在有机聚合膜聚砜(PSF)、聚醚砜(PES)、聚丙烯腈(PAN)、聚偏氟乙烯(PVDF)和聚四氟乙烯(PTFE)等[3]主导现有的膜市场中作为常用的膜材料之一,因其良好的综合性能在膜分离领域具有广阔应用前景[4]。用于环保、食品饮料、生化制药、医疗卫生及工业水净化处理等方面。
可是PVDF是非极性的、强疏水性的和易受有机质污染的缺点大大限制了其在水相分离系统中的应用。在水处理应用中PVDF膜的主要问题也是由于其疏水性而易于结垢,这可以通过合适的亲水化处理来改善。亲水改性包括物理方法和化学方法,它们都能有效地改善PVDF 膜的表面性质,表现出更好的防污性能。随着PVDF膜亲水改性研究的逐步发展,越来越多的高效又简便的改性方式将被研究并应用于工业生产中。因为各类改性方式所具备的缺点,PVDF膜的亲水改性研究将趋于复合化,可以尝试几种改性方式同时用于PVDF膜的改性中,它可以填补单一改性方式的缺点,从而获得结果更好的改性膜。PVDF膜的表面能极低,润湿性能力较差,强疏水性很大水平的降低了水通量。PVDF 膜与水较难产生氢键,在与水接触时排斥水分子,从而使有机质大分子容易吸附在PVDF 膜的孔壁上而堵塞膜孔,导致了膜的分离性能下降,使用寿命减短[5]。
由于聚偏氟乙烯性能好, 引起了人们重视,深得人们的喜爱。中国在1948年第一次合成聚偏氟乙烯膜(PVDF或PVF2)[6],而美国Millipore 公司在20 世纪80 年代中期首先用聚偏氟乙烯开发出微孔膜,并且把它推向市场。目前国外已经能够生产出性能优良的聚偏氟乙烯超滤模和微滤膜。近几年来国内科研人员,也投入大量精力,对此聚合物成膜进行了深入研究,但作为工业用PVDF 膜及由该膜制成的膜组件不多。国内对于PVDF 超滤膜也已形成一定的生产规模,但对于疏水性PVDF微孔膜,大多处于研究阶段。对于聚偏氟乙烯膜来说应该在原始的基础上,努力开发出高性能的膜,并解决亲水性PVDF膜的耐污染问题, 不要尽管局限于学术研究过程中,简化改性步骤和降低改性成本,对PVDF膜进行工业应用研究是未来的一个努力发展的方向,努力缩短与世界先进水平的差距。
1.2选题的意义和主要研究内容
人类的活动会使大量的工业、农业和生活废弃物直接排入水中,从而使水受到污染。废水的净化已经成为人类生活中所重视的环境问题之一。有机高分子微滤膜(0.1-1μm)是一种可以将水净化的极佳的材料,它的孔隙率高(≥70%)、厚度小、材质均匀,从而截留速度快、对过滤介质的吸附少而且不会造成二次污染,受到了该领域学者的青睐。PVDF微滤膜作为有机微滤膜之一。因具有良好的化学稳定性、热稳定性、耐辐射性、抗蠕变性和耐磨性,被广泛地用来净化废水[7]。由于PVDF微滤膜疏水性很强,改善这种强疏水性对废水的净化有很重要的意义。
改善微滤膜亲水性能的方式有很多种,包含共聚改性、共混改性,表面接枝改性和表面涂覆改性。本实验中用的膜表面涂覆改性是一种简便的且能有效改善膜亲水性的方法,其实质是引入一个亲水层覆盖到现有的PVDF膜表面。其改性工艺最为简单,成本较低,是通过改性分子与膜表面的物理相互作用来实现的,而不同于改性分子与膜形成共价键,或导致聚合物膜表面发生化学变化。膜表面涂覆改性是物理改性常用的方法之一,在改性过程中,PVDF膜的化学组分不变。指在聚偏氟乙烯膜表面通过简单的涂覆作用引入较薄的亲水性功能层[8]。薄的亲水性功能层通过涂覆沉积在膜表面,进而达到增加膜的表面亲水性的工艺方法。通常亲水性功能层是通过交联、物理吸附、磺化等作用附着于膜表面的。但是经这种方法改性的膜亲水稳定性不好,因此寻找优良的改性剂来增强改性膜的亲水稳定性具有重要的意义。zhang[9]等用不同的时间将PVDF膜浸泡在单宁溶液中研究改性膜的性能,发现在浸泡6小时时,改性膜接触角与原始膜相比较下降42度,而且膜在流动的水中浸泡7天后,接触角与水通量均变化较小,说明改性膜亲水稳定性好。本论文选取了单宁酸和聚乙烯亚胺作为改性剂来改善PVDF微滤膜的亲水性,通过亲水稳定性的测试来表征其改性效果。
本文主要了解国内外相关研究概况和发展趋势,学习改性膜的制备方法,进行实验操作,构建单宁酸/聚乙烯亚胺共沉积体系,阐明共沉积体系的反应过程与沉积机理,将该沉积技术应用于聚偏氟乙烯膜微孔膜表面改性,研究沉积时间、沉积溶液组成、PEI分子量对共沉积过程的影响。制备单宁酸/聚乙烯亚胺改性膜样品,以及对样品的性能测试及表征,包括亲水性,亲水稳定性;FTIR,SEM,XPS测试。
1.3 膜科学与技术
膜的种类和制造条件多样,在生产工艺中,有好多选择性高且性能稳定的膜材料可供使用。膜可以根据材质、结构、状态、用途等等来分类,如生物膜、有机膜、无极膜、无孔膜、多孔膜、对称的与不对称的膜等等。本次试验研究的就是有机膜合成膜中的聚偏氟乙烯膜。
在1784年Abbe Nollet从水扩散到装有酒精的猪膀胱得出膜分离现象。在1863年膜渗透析器的制造成功开辟了膜分离技术的新纪元。在1864 年,Traube制造出人类历史上第一张人造膜-亚铁氰化铜膜,1918 年Zsigmondy 制成了微孔滤膜用于分离和富集微生物和极细粒子[10]。之后Ar-denne等人揭示了膜的微观结构。1925年德国就建立了世界上第一个滤膜公司[14]。而在1958年,中国化学研究才所研发出我国第一张膜—聚乙烯醇离子交换膜[11]。这也是我国膜科学与发展的开端,发展至今已有长达约60年之久。1967年聚乙烯异相离子交换膜和20世纪70年代醋酸纤维素投产为早期发展阶段,如电渗析,超滤和微滤等膜与膜组件初步发展,为我国膜科学技术发展奠定了良好的基础。二十世纪八九十年代中国膜技术经过了早期发展、繁荣发展、快速发展,微滤、超滤、反渗透等技术不断成熟,新的膜材料被发现,对于膜技术以及膜过程大量研究。二十一世纪初,中国膜技术取得了长足的进步[12]。国外知名膜企业不断涌入中国市场,还有本土膜公司和膜制造厂家也相继建立。这些膜企业的发展对中国的膜工业发展起到了显著的推动作用,缩短了中国与其他国家的膜技术差距。综合来看,由于膜技术占地面积小、耗能低、处理后水质较优、对环境影响小等优点。是解决当代能源、资源和环境问题的高新技术,也成为21世纪水处理领域的优选技术[13]。
1.4 单宁酸简介
单宁存在于植物中而且自然资源丰富,山区地区较多。因为有广泛的来源,特殊的理化性质、生理活性,在制革、食品、医药、日化等工业中广泛应用而被人们所熟知[15]。具有很高的利用价值。例如在食品应用中单宁酸作吸附剂、氧化剂、稳定剂;在制革中有柔软及弹性且颜色好看;在日常生活中用作化妆品,性能好且无刺激,还可作染发剂的成分,也有好的效果;在医药上用于药物成分,可以抑菌、治疗疾病。

以上是毕业论文大纲或资料介绍,该课题完整毕业论文、开题报告、任务书、程序设计、图纸设计等资料请添加微信获取,微信号:bysjorg。
相关图片展示:







课题毕业论文、开题报告、任务书、外文翻译、程序设计、图纸设计等资料可联系客服协助查找。
