多酚单宁在不同固体材料表面涂覆特性研究毕业论文
摘 要
植物单宁(TA)又被称为植物多酚,属于天然多酚类化合物,它的多元酚结构使其具有一系列独特的生理活性和化学性质,亦可因其良好的界面粘附性能,在不同固体材料表面形成涂层,并通过共价键和非共价键的共同作用,牢固地黏附在各种固体材料表面。本文采用自然界中广泛存在的植物多酚单宁代替多巴胺作为涂层材料,采用溶液沉积法对PP、PES、PA、Glass、Al五种固体材料表面进行涂覆改性,研究多酚单宁的涂覆特性,以期得到一种性能优异、价格低廉的涂层材料。具体内容如下:
以TA和三羟甲基氨基甲烷(Tris-buffer)缓冲剂配制涂覆材料,并对PP、PES、PA、Glass、Al五种固体材料表面进行涂覆改性,研究TA在不同固体材料表面进行涂覆改性的效果;并以温度、时间、pH为变量,设置一系列条件不同的对比试验,研究改性后不同固体材料表面结构与性能的变化。
结合衰减全反射傅里叶红外光谱(ATR-FTIR)、场发射扫描电子显微镜(SEM)和X射线光电子能谱(XPS)对改性前后五种固体材料微观形貌及组成的变化进行表征,证明TA成功涂覆在不同固体材料的表面;通过接触角、沉积密度等测试方法对改性前后不同固体材料表面特性的变化进行表征。结果表明,用TA改性后的五种固体材料表面亲水性均有不同程度的提升,对于不同固体材料,有不同的适宜涂覆改性温度。通过耐冲洗实验来测试TA在不同固体材料表面形成涂层的稳定性,证明TA涂层具有良好的稳定性。
关键词:单宁酸,固体材料,表面涂覆改性,稳定性
Abstract
Plant tannin (TA), also known as plant polyphenols, belongs to natural polyphenols. Its polyphenol structure gives it a series of unique physiological and chemical properties, It can also form coating on the surface of different solid materials because of its good interfacial adhesion, and are firmly adhered to the surfaces of various solid materials through the co-action of covalent bonds and non-covalent bonds.In this paper, instead of dopamine as a coating material, plant polyphenol tannins, which are widely found in nature, were used to coat and modify the surfaces of five solid materials including PP, PES, PA, Glass, and Al by solution deposition to study the coating properties of polyphenol tannins, we can obtain a coating material with excellent properties and low cost in this way.The details are as follows:
The coating materials were prepared with TA and Tris-buffer buffers, and the surfaces of five solid materials such as PP, PES, PA, Glass, and Al were coated and modified by the coating materials to study the effect of TA coating on the surface of different solid materials. A series of comparative tests with different conditions were set with temperature, time, and pH as variables to study the changes in the surface structure and properties of different solid materials after modification.
The changes of the surface morphology and composition of the five solid materials before and after modification were characterized by the attenuated total reflection Fourier transform infrared spectroscopy (ATR-FTIR) 、field emission scanning electron microscope (SEM) and X-ray photoelectron spectroscopy (XPS),which proved that TA was successfully coated on the surface of different solid materials; the changes in the surface properties of different solid materials before and after modification were characterized by means of water contact angle, deposition density and other test methods. The results showed that the surface hydrophilicity of the five solid materials modified with TA had different degrees of improvement. For different solid materials, and there were different suitable coating modification temperatures.The stability of TA coating on the surface of different solid materials was tested by washout test, and the TA coating was showed good stability.
Key Words: Tannic acid , Solid materials, Surface modification , Stability
目录
中文摘要 Ⅰ
Abstract Ⅱ
第一章 绪论 1
1.1固体材料的亲水改性研究 1
1.1.1前言 1
1.1.2物理改性方法 1
1.1.3化学改性方法 2
1.2多酚基化合物及其在表面改性中的研究 3
1.2.1多巴胺概述 3
1.2.2单宁酸概述 4
1.3本课题研究背景、意义及内容 8
1.3.1研究背景及意义 8
1.3.2研究内容 9
第二章 多酚单宁在不同固体材料表面涂覆特性研究 10
2.1前言 10
2.2实验原料 10
2.3实验仪器设备 11
2.4多酚单宁在不同固体材料表面的涂层制备 11
第三章 性能测试结果与讨论 13
3.1 TA涂覆不同固体材料表面形貌特征分析 13
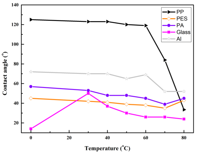
3.2 TA改性不同固体材料的水接触角及涂覆密度曲线 15
3.3 TA涂覆不同固体材料表面基团分析 18
3.4 TA涂覆不同固体材料表面元素含量分析 21
3.5 TA涂覆不同固体材料吸水率、纯水通量测试 21
3.6 TA涂覆不同固体材料亲水稳定性测试 23
第四章 总结与展望 25
4.1 总结 25
4.2 展望 25
致谢 27
参考文献 28
第一章 绪论
1.1 固体材料的亲水改性研究
1.1.1 前言
自古以来便有关于表面技术的研究,及至20世纪60到70年代,激光束、电子束、离子束等近现代技术被应用于表面技术范畴,表面技术领域获得了飞跃的进步,逐渐地形成了表面改性、薄膜和涂层技术这三种表面工程技术领域[1]。目前世界各国表面工程技术研究已初有成效,通过表面技术对各种基体表面进行改性,可有效改善基体性能,使其更适用于社会各应用领域,显著促进航空航天、机械、电子等各行各业的技术进步。
表面改性就是在保持材料原有特性的条件下,令其拥有新的性能。而亲水改性则是提高材料的亲水性,按照改性方法,亲水改性可以分为物理改性和化学改性。物理改性方法主要有表面涂覆、共混、喷涂处理[2]、物理气相沉积(PVD)等;化学改性方法主要有表面处理、表面接枝、化学气相沉积(CVD)等[3]。
1.1.2 物理改性方法
1.1.2.1 表面涂覆
利用表面涂覆进行亲水化改性即在材料表面涂覆一层亲水涂层,从而提高材料的表面亲水性与抗污染性[4]。例如在聚合物膜中,通过浸渍、喷涂或旋转涂覆等方式,将分散或溶有表面改性剂的溶液均匀覆盖在聚合物膜的表面,即可得到表面带有亲水性功能层的聚合物膜[5]。交联、物理吸附以及磺化作用等是亲水性功能层与聚合物膜之间的主要作用力。
刘贯一[6]等人利用聚乙烯醇(PVA)与吐温-80(Tween-80)配制溶液,并将聚丙烯中空纤维膜在溶液中浸渍,进行亲水改性研究,实验结果表明,中空纤维膜表面的亲水性能在一定程度上得到了提升。
1.1.2.2 共混
共混改性指的是通过性能互补和协同效应,将具有不同性能的聚合物共混来提高材料性能的改性方法[7]。例如在聚合物膜中,可通过亲水性聚合物、两亲性共聚物和无机物与聚合物膜共混来提高其亲水性[8]。共混改性在制膜过程中即可提高聚合物膜的亲水性,且膜的表面与内部孔壁都得到了充分的改性,也不需要冗杂的预处理和后续处理过程,易于实现聚合物膜的大规模工业化改性[9,10]。
赵永军[11]等通过氧化石墨烯(GO)与纳米二氧化钛(nano-TiO2)共混对聚醚砜(PES)超滤膜进行改性。将GO、nano-TiO2按比例与PES铸膜液共混搅拌,然后脱泡,并在玻璃板上刮膜,最后凝固浴中成膜。实验结果表明,共混改性膜的纯水通量提高,其亲水性和抗污染性获得了改善。
1.1.2.3 物理气相沉积(PVD)
物理气相沉积(PVD)是通过物理方法将镀膜材料气化,并使其在材料表面沉积并形成涂层的过程。根据沉积时物理机制的差异,可以将物理气相沉积方法分为真空蒸镀技术(Vapor Evaporation)、真空溅射镀膜(Vapor Sputtering)、电弧等离子体镀膜(Arc plasma Coating)、离子镀膜(Ion Plating)和分子束外延(Molecular Beam Epitaxy)等等[12]。此方法具有镀膜成分易于控制、操作方法简便、不存在三废污染等优势,因此应用广泛。
TiN为常见的PVD镀层,它属于非金属化合物,具有较强的化学惰性,在酸性或中性的腐蚀介质中能够保持高耐腐蚀性。Choi[13]等人通过研究发现,在TiN中掺杂铝元素,能够在高温条件下,于镀层表面形成钝化氧化膜,提高镀层的高温腐蚀性。
1.1.3 化学改性方法
1.1.3.1 表面处理
表面处理法多用于聚合物中,是通过强氧化剂溶液或等离子体,对材料表面进行化学氧化处理以及等离子体表面处理,使氨基、羟基、过氧基团等极性官能团在材料表面产生,从而提高其亲水性的一种方法。
1.表面化学氧化处理
表面化学氧化处理方法也被称为液相化学法,这种方法主要是通过液态的强氧化剂,对聚合物表面进行氧化处理,使其表面发生化学反应从而引入羧基等极性官能团,提高聚合物表面的亲水性。
秦卫龙[14]等人使用一系列氧化剂对聚丙烯膜进行了表面氧化处理,并通过实验对结果进行分析,表明最适宜对聚丙烯膜进行表面改性的氧化剂是重铬酸钾,而且可以有效降低水接触角,提高聚丙烯膜表面的亲水性。
2.等离子体表面处理
离子、电子和未被电离的中性粒子共同组成了一种整体呈中性的气体状态物质,即等离子体。在电场作用下,等离子体被电离出多种反应活性较高的粒子[15],这些粒子能够使聚合物膜表面活化,并且与聚合物膜表面的分子进行反应,形成亲水性基团,提高聚合物膜表面的亲水性。
韩万里[16]等人通过低温等离子体对PP熔喷非织造布进行表面改性,并设置一系列正交试验,得出结论:利用低温等离子体的表面改性可以有效提高聚丙烯熔喷非织造布的亲水性,且在处理时间为130秒时,亲水性能得到了最大程度的改善。
1.1.3.2 表面接枝
表面接枝是指将极性基团接枝聚合到聚合物分子链上,通过共价键聚在聚合物表面形成亲水性链段,提高亲水性的方法。实现表面接枝的方法有很多,主要分为紫外光照射接枝法、辐照接枝法、等离子体处理等。对聚合物膜使用表面接枝法后,其亲水性可以保持长时间增长,但也可能会造成膜的孔径减小,从而降低其膜通量[4]。
Gao[17]等人通过活性/可控聚合接枝的方法,使用臭氧和氧气的混合物处理聚偏氟乙烯膜(PVDF)。在这个过程中,首先使PVDF表面羟基化,再将其与溴代异丁酸反应,引入溴化物,最后进行原子转移自由基聚合。接枝后聚合物膜的抗污染性能和亲水性都有了明显提高。
1.2 多酚基化合物及其在表面改性中的研究
多酚基化合物广泛存在于自然界中,属于一种次生代谢物,其在动植物组织中含量尤为丰富,例如:白藜芦醇、槲皮素等。由于多酚基化合物的结构中含有多酚羟基,因而被赋予了一系列特殊的性能,例如:强抗氧化活性、良好的金属离子络合性以及优良的界面亲和性能等[18,19],这些性能都有助于对材料表面进行改性,改善其表面性能。
1.2.1 多巴胺概述
- 年,Phillip B. Messersmith 等人发现海洋类生物贻贝能够牢固地粘附在岩石甚至海底礁石表面。研究表明,贻贝的足腺能够合成出一种具有极强粘性的蛋白质-贻贝黏附蛋白,并将这种蛋白分泌到足丝,其后在水下以极快的速度固化从而变成包含优良附着力的附着基,在整个粘附过程中,酚羟基和氨基起到了至关重要的作用。因此,多巴胺作为黏附蛋白关键组分L-多巴的儿茶酚衍生物,因其同时含有氨基和酚羟基,被研究人员当作仿生物质用来替代蛋白质-贻贝黏附蛋白。
1.2.1.1 多巴胺的性质及应用
多巴胺(Dopamine)存在于人体的中枢神经系统中,是一种神经传导物质,在细胞传送脉冲的过程中提供帮助。多巴胺神经递质和人的感觉有关,可传导神经兴奋的信息。其分子式为C8H11O2N。多巴胺是一种隶属于多酚类的典型物质,经过研究,我们能够发现它可以在与空气接触的情况下,于弱碱性溶液中进行自聚合,并在物体表面形成一层聚多巴胺涂层[20]。由于多巴胺中存在高活性邻苯二酚以及氨基基团,通过共价键以及非共价键的共同作用,聚多巴胺涂层能够牢固地黏附在许多种类的金属、无机和有机等材料表面[21,22],从而改变材料表面的性质。
Xi[23] 等通过多巴胺表面涂覆法对疏水性聚合物微孔膜进行改性,在这个过程中,首先配制一系列多巴胺碱性溶液,再直接将聚乙烯(PE)、聚四氟乙烯(PTFE)和聚偏氟乙烯( PVDF)这三种疏水性聚合物微孔膜充分浸泡在溶液中,结果证明,多巴胺表面涂覆法能够显著改善聚合物膜表面的亲水性,并且在适当的反应条件下,还可以提高聚合物微孔膜的水通量。
Messersmith[20]等通过多巴胺水溶液(pH=8.5)的表面涂覆法,对一系列有机与无机材料表面进行了改性,如:高分子材料、金属氧化物、非金属无机氧化物和贵金属等,充分证明了多巴胺在材料表面改性中的广泛应用。
1.2.1.2 多巴胺的应用限制
尽管多巴胺在材料表面改性中有巨大的优势,但聚多巴胺涂层整体呈现黑色,这使它在光学领域的应用受到了限制,且多巴胺的提取工艺及其复杂,价格昂贵,并不适合大规模工业生产应用[24]。因此,在研究过程中寻找到了另外的多酚基化合物,它们与多巴胺具有相似的结构,可以替代多巴胺对材料表面进行改性,这对于材料表面的涂覆改性具有非常重要的实际意义。
1.2.2 单宁酸概述
植物单宁(Tannin)又被称为植物多酚,属于天然多酚类化合物,分子量一般在500-3000左右,在许多植物的树皮、未成熟的果实、叶以及一些伤残部位等中广泛存在,茶、葡萄酒、落叶松等植物中都含有丰富的单宁[25,26],它的结构比较复杂,不适宜通过人工合成,一般是从植物中进行分离提取[27]。
1.2.1.1 单宁的分类
1920年,根据单宁的化学结构特征,Freudenberg首次将单宁分类为水解单宁和缩合单宁,如图1.1。这种分类方法仍然被现代社会认可[28]。
1.水解单宁
水解单宁(Hydrolysable tannins)是植物体内的棓酸(亦称为没食子酸、五倍子酸)的代谢产物,都是由棓酸或是棓酸衍生的多元醇与酚羧酸生成的酯[29]。在酸、碱或酶的作用下,单宁分子内的酯键容易水解,然后产生多元醇和酚羧酸,根据产生的酚羧酸的不同,可以将水解单宁分为棓酸单宁和鞣花单宁。棓酸单宁水解后会产生棓酸,而鞣花单宁水解后会产生鞣花酸[30]。

以上是毕业论文大纲或资料介绍,该课题完整毕业论文、开题报告、任务书、程序设计、图纸设计等资料请添加微信获取,微信号:bysjorg。
相关图片展示:







课题毕业论文、开题报告、任务书、外文翻译、程序设计、图纸设计等资料可联系客服协助查找。
