MOS气体传感器快速测量方法毕业论文
摘 要
商业气敏传感器具有结构简单、可靠性高、稳定性好、信号处理容易等一些列优点,可广泛用于食品质量检测与控制、环境监测、公共安全检测、医疗卫生和航空航天应用及军事应用等领域。然而目前的传感器对于快速响应和快速识别气体方面并不是很完善,本实验着重研究商业气敏传感器的快速响应和快速识别能力,并探讨快速识别的处理方法。本实验使用控制变量法,对一组传感器用静态蒸发腔模拟不同的气氛(乙醇、丙酮、苯)和不同的浓度(50ppm、100ppm、150ppm)和响应时间(稳态、20s、15s、10s、5s),以验证其快速响应能力与快速识别能力。测试结果表明,商用气敏传感器具有对气体稳态识别的功能;通过对数据的处理比对,商用气敏传感器具有对气体快速响应的能力,且快速识别的数据处理步骤更加简易方便;通过对相空间的特征三角形的分析可知,商用气敏传感器也具备对气体快速识别的能力。
关键词:商业气敏传感器 控制变量 快速响应 快速识别 相空间
Abstract
Commercial gas sensor has advantages such as simple structure, high stability, high dependence and easy to process signal. It can be broadly used in food quality detecting and controlling, environment observing, public safety sensing, applications in hospital, aerospace, military and other variety fields. However, nowadays the gas sensor cannot perform well in quickly responding or quickly differentiating. In this experiment, we are going to research on the quickly responding and quickly differentiating ability of commercial gas sensors and we prepare to discuss about the processing method of quickly differentiating. During this study, we will use control variate method trying to prove the quickly responding and quickly differentiating abilities in which we use a static evaporation cavity to simulate different gas atmosphere (C2H6O, C3H6O, C6H6) with different concentration (50ppm, 100ppm, 150ppm) in different time (stable time , 20s, 15s, 10s, 5s). As the results show that commercial gas sensor has the ability of responding to gas in stable condition; after processing the statistics we found that commercial gas sensor is able to quickly respond to gas and the process of processing the statistics is easier than that of gas in stable condition; we also drew the conclusion that commercial gas sensor can quickly differentiate different kinds of gas in analyzing the characteristic triangles of the phase space.
Key words: commercial gas sensor, control variate method, quickly responding, quickly differentiating, phase space
目录
1 绪论 1
1.1气敏传感器 1
1.1.1气敏传感器的原理 1
1.1.2气敏传感器的应用 2
1.2金属半导体气敏传感器 2
1.2.1金属半导体气敏传感器的工作原理 2
1.2.2金属半导体气敏传感器的种类 3
1.2.3面临的问题 3
1.3 本课题的研究目标和研究内容 4
1.3.1研究目的、意义 4
1.3.2研究内容 4
1.3.3实验方案 4
2 实验仪器及内容 5
2.1实验材料及仪器 5
2.1.1静态蒸发腔 5
2.1.2四通道材料气敏性能测试仪 6
2.2气敏性能测试 8
2.3初始数据 9
2.3.1时域空间信号 10
2.4相空间响应曲线 10
2.4.1相空间曲线的处理 11
3 结果分析与讨论 12
3.1对传感器处理一种气体的分析 12
3.1.1对单个传感器处理稳态气体的分析 12
3.1.2对单个传感器快速处理的分析 13
3.2对传感器快速处理多种气体的分析 15
3.2.1对单个传感器处理多种气体的初始数据分析 15
3.2.2对单个传感器处理多种气体的相空间曲线分析 17
3.2.3单个传感器对不同气体的快速分辨 17
3.3其他传感器对气体的快速响应能力 19
4 实验结论与总结 20
参考文献 21
致谢 23
第1章 绪论
1.1气敏传感器
作为化学传感器之一,气敏传感器的作用是检测气体的类型、浓度以及成分。
被测气体的种类和浓度信息将被转换为电信号,根据电信号的强弱读取该气体的相关信息,从而进行检测、监控、报警等。
1.1.1气敏传感器的原理
就目前以实际应用的气敏传感器中,金属氧化物半导体气敏传感器占着重要的地位,这是由于它具有检测范围宽、稳定性好、寿命长、响应迅速等优点。气敏传感器的最核心部分在于气敏材料,这些气敏金属氧化物之所以被称为半导体陶瓷,简称为半导瓷,是因为它们是用陶瓷工艺制成的材料,且具有半导体性质。与单晶半导体相比,半导瓷拥有工艺相对不复杂、价格相对不昂贵等优点,因此它已被用来制作多种气敏元件,且具有较高的实用价值。以三氧化钨、二氧化锡、氧化锌、三氧化铟等电阻式金属氧化物作为基体材料制成的半导体传感器是大多数金属氧化物半导体传感器的组成部分。使用二氧化锡制做而成的元件拥有结构简单、成本相对较低、较为稳定、高可靠性、易于进行信号处理等等优点,所以在上述大多数半导体气敏元件中,具有较为广泛的应用空间。
SnO2是一种禁带宽度为3.6eV的N型半导体材料[1]。SnO2具有金红石结构,属于立方晶系。由于具有氧缺陷,二氧化锡存在施主能级,所以呈N型半导体特性[2],其熔点为1127℃,荣誉浓硫酸,遇见共溶形成锡酸盐而不溶于水。SnO2是很难还原的氧化物,化学性质很稳定。由于具有良好的光电特性、催化和气敏特性,SnO2在透明导电薄膜、电极材料、陶瓷、传感器、锂电池、太阳能电池、催化剂以及光学技术等方面具有广泛用途。因为二氧化锡拥有寿命相对较长、高灵敏度、成本可控等等一系列优势,所以它在用作气敏元件时一直是氧化物半导体电阻式气敏传感器的研究中的热点[3-6]。
以金属氧化物半导体材料作为气敏元件的电阻型半导体。它分N型半导体如SnO2、Fe2O3、ZnO等;P型半导体,如CoO、PbO、CuO、NiO 等。半导体元件吸附气体的方式有两种,分别为物理吸附和化学吸附。物理吸附是指当气体经过材料表面发生自由扩散后,失去动能的一部分分子吸附在材料表面;化学吸附是指待测气体经过材料表面时,与材料发生热分解反应,以另一种形式固定于材料表面。实际工作中,两种现象同时发生。
当P型半导体材料接触氧化或还原性气体时,自身会与气体发生氧化还原反应,转化为不同价态氧化物,电阻因此改变。由于P型半导体材料被氧化后,晶姐能垒提高,因此,在氧化性气体中,P型半导体材料电阻增大,反之在还原性气氛中,P型半导体材料电阻减小。例如,氧化铁在高温洁净空气状态下以Fe2O3形式存在,Fe2O3电阻较高,当还原性气体接触Fe2O3后,Fe2O3转换为Fe3O4,Fe3O4电阻率比Fe2O3电阻率低,通过电阻率变化关系来检测气体。
N型半导体材料晶体内部存在氧空位,如SnO2,特别是在加热后,SnO2表面活性很高,极其容易吸附空气中的氧气。其中吸附遵循下面的公式:
O2+e- ⇆ O2 ⇆ 2O O+e- ⇆ O-
经过电子顺磁共振检测,SnO2表面吸附氧的主要存在方式为和O-,由于O2-不是顺磁物质,因此无法鉴定是否存在于SnO2表面。大量氧离子在在SnO2白面形成电子耗尽层,因此,当电子在SnO2晶粒之间流动时不仅需要克服晶粒本身电阻,也要克服电子耗尽层电阻。
接触氧化性气体时,SnO2最低空轨道能级比费米能级低,气体分子会夺取SnO2的电子而形成负离子吸附,电子从SnO2流向气体分子,禁带向外弯曲,电子耗尽层厚度增加,阻碍载流子流动,电阻上升。常见氧化性气体有NO2,O2等;反之,SnO2表面吸附还原性气体时,气体分子与表面吸附的氧离子发生替换或者反映,SnO2电子最高占据能级高于费米能级,电子会从气体分子流向SnO2,形成阳离子吸附,导致电子禁带向内弯曲,电子耗尽层厚度降低,电阻下降。常见的还原性气体有H2,H2S,CO等。[7]
1.1.2气敏传感器的应用
日本学者Seiyama等人在1962年率先发现了半导体金属氧化物的气敏特性[6],并进一步做了理论研究[8],首先导入了“气体检测器”的概念之后,各种气敏传感器越来越广泛地被应用于各个领域。而当今,随着人们对自身生存环境的关注,越来越多的气敏传感器被应用在环境监测和环境保护方面。目前,这方面主要集中在两方面:一是对空气中有毒、有害的低浓度污染气体的监测。二是对造成地球变暖的CO2监测。金属氧化物氧传感器主要应用于汽车空/燃比的控制。日本于1982年开始把TiO2半导体应用于汽车上,1991年日本该领域所应用的氧传感器在1300万支以上,而美国该领域的产值在80年代就达1.2亿美金。金属氧化物氧传感器的另一重要领域是冶金工业的炼钢和炼铜,1991年日本冶金工业用氧传感器的总营业额为16.8亿日元[8]。金属氧化物气敏传感器在国外也应用广泛应用在医药领域,该领域使用的气敏传感器主要有三类:测量通过皮肤扩散的O2和CO2气敏传感器;直接用于测量血液中气体浓度的气敏传感器;测量吸气和呼气气体浓度的气敏传感器。临床医学主要用的是O2和CO传感器[9]。
1.2金属半导体气敏传感器
1.2.1金属半导体气敏传感器的工作原理
电阻型半导体气敏传感器是利用气体在半导体材料表面的氧化还原反应导致阻值的变化来工作的。具体来说,如氧化物半导体型气敏传感器,它的敏感机制可以用化学吸附效应来解释,半导体电阻工作时常需要加热,热稳定后当有气体吸附时,吸附分子首先在表面自由扩散,一部分分子蒸发,一部分分子固定在吸附处。如果材料的功函数(把一个电子从固体内部刚刚移到此物体表面所需的最少的能量)小于吸附分子的亲和力,分子将从材料夺取电子变成负离子吸附;如果材料功函数大于吸附分子的离解能,吸附分子将向材料释放电子而成为正离子吸附。[10-12]
发生负离子吸附的气体为氧化型气体,当它吸附到N型半导体上时,使载流子减少,从而使材料电阻增大。发生正离子吸附的气体为还原型气体,当它吸附到N型半导体时,使载流子数目增多,材料电阻下降。当氧化型气体吸附到P型半导体时,P型半导体内空穴增多导电性增强,电阻值下降。如果还原性气体被吸附至P型半导体上时,载流子数目会显著减少,电阻会显著增大。我们可以根据以上特性根据电阻阻值的变化状况来获得被吸附的气体的浓度和种类。

图1.1半导体传感器工作原理示意图
1.2.2金属半导体气敏传感器的种类
半导体气敏传感器一般来说是利用半导体表面和待测气体发生接触时所产生的一系列诸如电导率等物理性质的变化来达到探测识别气体的目的的。半导体与气体相互作用时所产生的变化如果只限于半导体表面,则其被称为表面控制型,此时吸附气体与半导体发生电子接受,不改变半导体的内部化学组成,只造成半导体的物理性质诸如电导率发生变化;若上述变化深入到半导体内部,则会使半导体化学组成发生变化从而导致半导体电导率发生变化。根据半导体变化的物理特性我们可以将其分为电阻型以及非电阻型:电阻型半导体气敏元件利用敏感材料接触气体,通过电阻的电导变化来检测气体的浓度以及成分;非电阻型半导体气敏元件则是根据气体在半导体表面的吸附以及反应使得半导体表面或内部的某些物理化学特性发生变化,从而直接或间接检测出气体浓度以及种类,例如场效应晶体管通过阈值电压变化达到对气体检测的目的。
1.2.3面临的问题
半导体气敏传感器现有的研究涉及化学、物理、材料以及微加工等诸多领域,并且得到了长足的发展,但仍然有比较多尚未解决的问题:
(1)不能就气敏机理给出准确的描述,由于涉及到固体物理、物理化学、半导体理论等多方面的学科交叉知识,要解决单一金属氧化物以及复合氧化物半导体气敏传感器件的气敏机理是一个非常复杂且工程量巨大的问题,如果不解决气敏元件的工作机理问题,气敏元器件的制作以及设计就难以得到更快、更大的发展,我们仍然需要大量的实验数据支持以及实验经验的积累。
(2)半导体器件的稳定性不理想,受制于复杂的环境气氛,各种液体、气体以及尘埃固体颗粒都会轻易通过物理吸附或化学吸附作用在气敏材料表面从而导致器件的失灵(灵敏度、稳定性出现下降),在气敏材料反复加热使用的过程中很容易使材料表面的结构功能发生不可逆转的变化,故气敏材料基本不可能在易燃易爆的危险环境中使用。因此对于稳定性的研究将是影响器件实用性的关键。
(3)半导体的响应时间与恢复时间太长,不能完成快速识别,对于需要传感器对气体作出快速响应的场合,很多传感器难以完成快速识别的任务。
1.3 本课题的研究目标和研究内容
1.3.1研究目的、意义
气敏传感器在生活中扮演着重要的角色,在环境检测、食品安全、公共安全等方面都起着不可小觑的作用。气敏传感器有诸如灵敏度高,使用方便有利于实现快速、连续及自动测量,且价格低廉的特点,但正如1.2.3中(3)所述,金属半导体存在对气体响应时间过长的问题。本研究通过对气敏传感器响应曲线采用恢复段特征分析法,分析不同传感器对多种浓度的不同气体的响应曲线,以达到快速测量的目的。
1.3.2研究内容
(1)测量不同传感器性能,取得合适的待测传感器。
(2)开展试验,对传感器使用不同浓度的不同气体进行气敏测试,获得实验数据。
(3)对测得的数据进行恢复段特征分析。
1.3.3实验方案
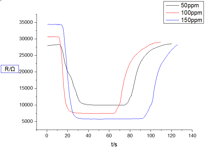
选择乙醇、苯、丙酮三种气体,以50、100、150ppm三种浓度进行实验,先测得稳态曲线,再以5s、10s、15s、20s四段分别测量反应曲线,研究传感器的快速响应性能,处理数据。
第2章 实验仪器及内容
2.1实验材料及仪器
实验原材料:无水乙醇、苯、丙酮试剂
实验设备:商用传感器(TGS825、TGS822、MQ138、TGS813)、静态蒸发腔、四通道材料气敏性能测试仪、微量进样器(10μL、20μL、100μL)
2.1.1静态蒸发腔

图2.1静态蒸发腔
功能:
静态蒸发腔是一款快速配气的装置,配有蒸发台、双风扇,能够将液态、易挥发的待测液体快速蒸发、均匀混合后得到一定浓度的气体,可以简单、有效、快速地配气,实现小型气敏检测仪器所需要的气氛环境。
特点:
1、高功率蒸发台配合双风扇,能够实现液态气体的快速蒸发和均匀混合;
2、透明、轻便的密封罩为实验提供更好的操作视野;
3、操作简单、快速、有效,可得到已知浓度的气氛环境;
主要性能指标:
1、静态蒸发台工作温度:180℃;
2、腔体内容积:50L;
3、密封罩的质量:约2kg;
应用领域:
液体蒸发法配气,VOCs等气体配气。
操作流程:将蒸发腔通电,并与四通道材料气敏性能测试仪连接,盖上腔盖打开加热板和电风扇开关,待电脑显示传感器电阻数据稳定后用微量进样器将待测液体通过腔盖上小孔注入加热板上,使液体迅速挥发并充斥整个腔体,此时即可开始测试传感器性能。待传感器电阻数据稳定后可掀开腔盖,使气体流通恢复至空气初始状态,待传感器电阻回复即可结束测试完成一次测试流程。
2.1.2四通道材料气敏性能测试仪

图2.2四通道材料气敏性能测试仪
以上是毕业论文大纲或资料介绍,该课题完整毕业论文、开题报告、任务书、程序设计、图纸设计等资料请添加微信获取,微信号:bysjorg。
相关图片展示:







课题毕业论文、开题报告、任务书、外文翻译、程序设计、图纸设计等资料可联系客服协助查找。
